Última actualización :
18/03/2026
Antídoto   Sugammadex  
Inyectables
Estabilidad en solucion Estabilidad en mezcla Factores que influyen sobre la estabilidad Compatibilidades método de inyección Bibliografía pdf
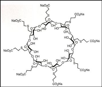
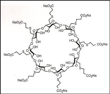
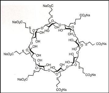
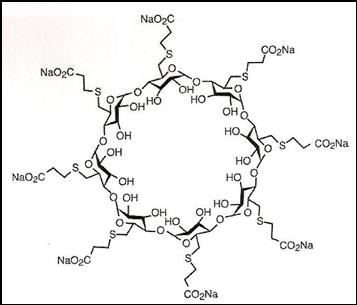
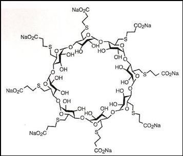
   Estructura química  

Nombre comercial   Nombre comercial     

Los nombres comerciales son orientativos y los excipientes de la formulación pueden ser distintos dependiendo del país y del laboratorio fabricante.

Bridion Alemania, Argentina, Australia, Bélgica, Brasil, Chile, Colombia, Dinamarca, Ecuador, España, Francia, Gran Bretaña, Hungría, Irlanda, Islandia, Italia, Japón, Luxemburgo, Malasia, Marruecos, México, Noruega, Nueva Zelanda, Portugal, Rumania, Suiza, Turquía
Desintunev México
Sagomyl Chile
Sugadion Chile
Sugamastar Marruecos
Sugammadex Bélgica, Chile, España, Finlandia, Hungría, Irlanda, Italia
Suvitali México
Estabilidad en solucion   Inyectables   Estabilidad en solucion : Sugammadex     
Envase Solvente Concentración Temperatura Conservación Duración de la estabilidad Bibliografía
No precisado Cloruro de sodio 0,9% 10 mg/ml 2-8°C No precisada
48 Hora
2328
Datos de estabilidad del fabricante

No precisado Cloruro de sodio 0,9% 10 mg/ml 25°C No precisada
48 Hora
2328
Datos de estabilidad del fabricante


  Mentions Légales