Zadnji put ažurirano :
18/03/2026
protuotrov   Sugammadex  
injekcija
Stabilizacija rješenja Stabilnost mješavine Stabilizacijski faktor Kompatibilnosti način davanja lijeka Bibliografija pdf
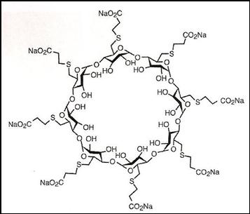
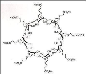
   Kemijska struktura  

Nekomercijalni   Nekomercijalni     

Zaštićeni nazivi su indikativni i sastav ekscipijensa može biti različit ovisno o državi i laboratorijima

Bridion Argentina, Australija, Belgija, Brazil, Čile, Danska, Ekvador, Francuska, Irska, Island, Italija, Japan, Kolumbija, Luksemburg, Madžarska, Malezija, Meksiko, Njemačka, Norveška, novi Zeland, Peru, Portugal, Rumunjska, Španjolska, Švicarska, Turska, Velika Britanija
Desintunev Meksiko
Sagomyl Čile
Sugadion Čile
Sugamastar Peru
Sugammadex Belgija, Čile, Finska, Irska, Italija, Madžarska, Španjolska
Suvitali Meksiko
Stabilizacija rješenja   injekcija   Stabilizacija rješenja : Sugammadex     
Kontejner sredstvo za rastapanje koncentracija temperatura Konzerviranje Trajanje stabilnosti Bibliografija
nespecifičan natrijumkorid 0,9% 10 mg/ml 2-8°C nespecifičan
48 sat
2328
Podaci proizvođača o stabilnosti

nespecifičan natrijumkorid 0,9% 10 mg/ml 25°C nespecifičan
48 sat
2328
Podaci proizvođača o stabilnosti


  Mentions Légales