Viimeisin päivitys :
18/03/2026
Antidootit   Sugammadex  
Injektioneste
Stabilius liuoksessa Stabilius seoksissa Tekijät, jotka vaikuttavat stabiliuteen Yhteensopivuus Antotapa Viitteet pdf
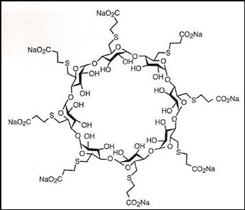
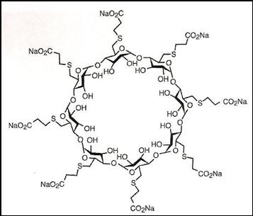
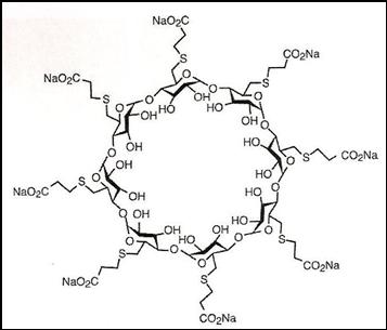
   Kemiallinen rakenne  

Kauppanimi   Kauppanimi     

Trade names are indicative and excipients composition can be different depending on the country and manufacturers

Bridion Argentiina, Australia, Belgia, Brasilia, Chile, Ecuador, Espanja, Irlanti, Islanti, Iso-Britannia, Italia, Japani, Kolumbia, Luxemburg, Malesia, Marokko, Meksiko, New Zealand, Norja, Portugali, Ranska, Romania, Saksa, Sveitsi, Tanska, Turkki, Unkari
Desintunev Meksiko
Sagomyl Chile
Sugadion Chile
Sugamastar Marokko
Sugammadex Belgia, Chile, Espanja, Irlanti, Italia, Suomi, Unkari
Suvitali Meksiko
Stabilius liuoksessa   Injektioneste   Stabilius liuoksessa : Sugammadex     
Astia Liuotin Konsentraatio Lämpötila Säilytys Vakauden kesto Viitteet
Ei määritetty Natriumkloridi 0,9% 10 mg/ml 2-8°C Ei määritetty
48 tunti
2328
Valmistajan antamat stabiiliustiedot

Ei määritetty Natriumkloridi 0,9% 10 mg/ml 25°C Ei määritetty
48 tunti
2328
Valmistajan antamat stabiiliustiedot


  Mentions Légales