Senaste uppdateringen :
18/03/2026
Antidot   Sugammadex  
injektion
Lösningars stabilitet Stabilitet i blandningar Faktorer som påverkar stabiliteten Kompatibilitet Administreringssätt Hänvisningar pdf
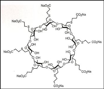
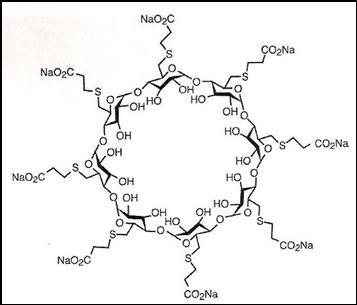
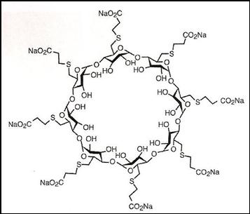
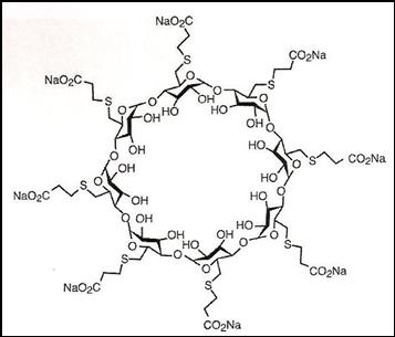
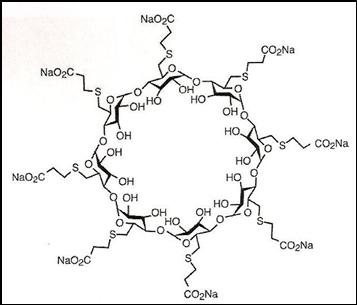
   Molekylstruktur  

Varunamn   Varunamn     

Angivna handelsnamn på läkemedel är enbart vägledande då formulering inklusive hjälpämnen kan variera mellan länder och tillverkare

Bridion Argentina, Australien, Belgien, Brasilien, Chile, Colombia, Danmark, Ecuador, Frankrike, Irland, Island, Italien, Japan, Luxemburg, Malaysia, Mexiko, Norge, nya Zeeland, Peru, Portugal, Rumänien, Schweiz, Spanien, Storbritannien, Turkiet, Tyskland, Ungern
Desintunev Mexiko
Sagomyl Chile
Sugadion Chile
Sugamastar Peru
Sugammadex Belgien, Chile, Finland, Irland, Italien, Spanien, Ungern
Suvitali Mexiko
Lösningars stabilitet   injektion   Lösningars stabilitet : Sugammadex     
Behållare Lösningsmedel Koncentration Temperatur Förvaring Stabilitets varaktighet Hänvisningar
Ej angiven Natriumklorid 0,9 % 10 mg/ml 2-8°C Ej angiven
48 Timma
2328
Tillverkarens stabilitetsuppgifter

Ej angiven Natriumklorid 0,9 % 10 mg/ml 25°C Ej angiven
48 Timma
2328
Tillverkarens stabilitetsuppgifter


  Mentions Légales