Последно актуализиране :
18/03/2026
Антидот (Противоотрова)   Sugammadex  
Инжекция/Инжекционен
Стабилност на разтвори Стабилност на смеси Фактори, повлияващи стабилността Съвместимост Път на въвеждане Библиография Pdf
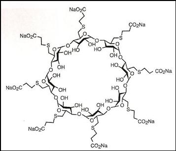
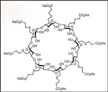
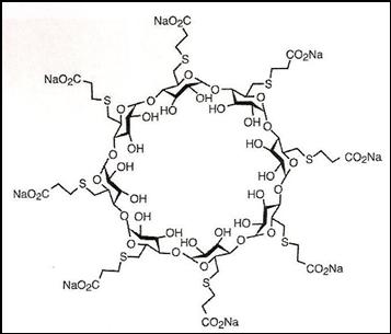
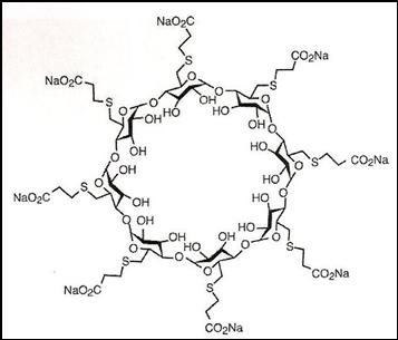
   Химична структура  

Търговско наименование   Търговско наименование     

Търговските имена са примерни и съставът на помощните вещества може да бъде различен в зависимост от държавата и лабораториите

Bridion Австралия, Аржентина, Белгия, Бразилия, Великобритания, Германия, Дания, Еквадор, Ирландия, Исландия, Испания, Италия, Колумбия, Люксенбург, Малайзия, Мексико, нова Зеландия, Норвегия, Перу, Португалия, Румъния, Турция, Унгария, Франция, Чили, Швейцария, Япония
Desintunev Мексико
Sagomyl Чили
Sugadion Чили
Sugamastar Перу
Sugammadex Белгия, Ирландия, Испания, Италия, Унгария, Финландия, Чили
Suvitali Мексико
Стабилност на разтвори   Инжекция/Инжекционен   Стабилност на разтвори : Sugammadex     
Контейнер Разтворител Концентрация Температура Съхранение Продължителност на стабилността Библиография
Не е уточнено Sodium chloride 0,9% 10 mg/ml 2-8°C Не е уточнено
48 Час
2328
Данни за стабилност на производителя

Не е уточнено Sodium chloride 0,9% 10 mg/ml 25°C Не е уточнено
48 Час
2328
Данни за стабилност на производителя


  Mentions Légales