Останнє оновлення :
18/03/2026
Протипухлинний препарат   Cyclophosphamide  
ін'єкція
капсула Розчин для перорального застосування
Стійкість в розчинах Стійкість сумішей Фактори, що впливають на стабільність Сумісність Шлях введення Список літератури pdf
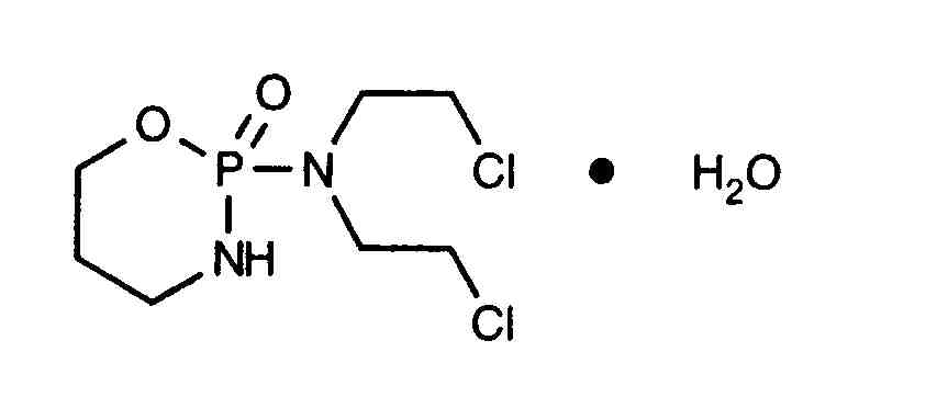
   Хімічна структура  

Торгова назва   Торгова назва     

Торгові назви є орієнтовними, а склад допоміжних речовин може бути різним залежно від країни та виробника

Alkyloxan Єгипет, Малайзія
Celomide Індія
Ciclofosfamida Аргентина, Румунія, Чилі
Cicloxal Іспанія
Cryofaxol Мексика
Cycloblastin Австралія
Cycloblastine Нідерланди
Cyclophosphamid Данія, Німеччина
Cyclophosphamide Великобританія, Нова Зеландія, Саудівська Аравія, Сполучені Штати Америки
Cyclostin Німеччина
Cycloxan Малайзія
Cycram Єгипет
Cytoxan Канада, Сполучені Штати Америки, Угорщина
Eldamide Індія
Endoxan Індія, Іран, Італія, Австрія, Австралія, Бельгія, Венесуела, Греція, Еквадор, Колумбія, Люксембург, Марокко, Нідерланди, Німеччина, Нова Зеландія, Об'єднані Арабські Емірати, Польща, Португалія, Саудівська Аравія, Словенія, Таїланд, Туніс, Туреччина, Угорщина, Франція, Хорватія, Чилі, Швейцарія
Endoxana Ірландія, Великобританія
Formitex Колумбія, Мексика
Genoxal Іспанія
Genuxal Бразилія
Hidrofosmin Мексика
Ledoxan Колумбія
Ledoxina Колумбія, Мексика
Neophos Єгипет
Neosar Сполучені Штати Америки
Procytox Канада
Sendoxan Ісландія, Данія, Норвегія, Фінляндія, Швеція
Syklofosfamid Туреччина, Фінляндія
Стійкість в розчинах   ін'єкція   Стійкість в розчинах : Cyclophosphamide     
Контейнер Розчинник Концентрація температура Зберігання Тривалість стабільності Список літератури
скло Вода для ін'єкцій 20 mg/ml 24-27°C Не визначено
4 День
1728
Рівень доказовості B

скло Вода для ін'єкцій 20 mg/ml 4°C Берегти від світла
7 День
172
Рівень доказовості А

скло Вода для ін'єкцій 20 mg/ml 5°C Берегти від світла
14 День
1728
Рівень доказовості B

скло Натрію хлорид 0,9% 0,4 mg/ml 2-8°C Берегти від світла
14 День
1728
Рівень доказовості B

скло Натрію хлорид 0,9% 0,4 mg/ml 21-25°C Не визначено
6 День
1728
Рівень доказовості B

скло Натрію хлорид 0,9% 1 mg/ml 25°C Берегти від світла
7 День
172
Рівень доказовості А

скло Натрію хлорид 0,9% 1 mg/ml 4°C Берегти від світла
7 День
172
Рівень доказовості А

скло Глюкоза 5% 1 mg/ml 25°C Берегти від світла
7 День
172
Рівень доказовості А

скло Глюкоза 5% 1 mg/ml 4°C Берегти від світла
7 День
172
Рівень доказовості А

Полівініл хлорид Вода для ін'єкцій 20 mg/ml 4°C Берегти від світла
7 День
172
Рівень доказовості А

Полівініл хлорид Натрію хлорид 0,9% 1 mg/ml 25°C Берегти від світла
7 День
172
Рівень доказовості А

Полівініл хлорид Натрію хлорид 0,9% 1 mg/ml 4°C Берегти від світла
7 День
172
Рівень доказовості А

Полівініл хлорид Натрію хлорид 0,9% 10 mg/ml 4°C Берегти від світла
30 День
40
Рівень доказовості D

Полівініл хлорид Глюкоза 5% 1 mg/ml 25°C Берегти від світла
2 День
172
Рівень доказовості А

Полівініл хлорид Глюкоза 5% 1 mg/ml 4°C Берегти від світла
7 День
172
Рівень доказовості А

Полівініл хлорид Глюкоза 5% 10 mg/ml 4°C Берегти від світла
30 День
40
Рівень доказовості D

Поліетилен Натрію хлорид 0,9% 0,24 & 6,4 mg/ml 25°C Берегти від світла
7 День
1520
Дані виробника про стабільність

Поліетилен Глюкоза 5% 0,24 & 6,4 mg/ml 25°C Берегти від світла
7 День
1520
Дані виробника про стабільність

Поліолефін Натрію хлорид 0,9% 2 mg/ml 2-8°C Берегти від світла
5 День
4989
Дані виробника про стабільність

Поліолефін Натрію хлорид 0,9% 2 mg/ml 25°C світло
60 годину
4989
Дані виробника про стабільність

Поліолефін Натрію хлорид 0,9% 20 mg/ml 2-8°C Берегти від світла
6 День
4989
Дані виробника про стабільність

Поліолефін Натрію хлорид 0,9% 20 mg/ml 25°C світло
24 годину
4989
Дані виробника про стабільність

Поліолефін Глюкоза 5% 2 mg/ml 2-8°C Берегти від світла
6 День
4989
Дані виробника про стабільність

Поліолефін Глюкоза 5% 2 mg/ml 25°C світло
60 годину
4989
Дані виробника про стабільність

Поліолефін Глюкоза 5% 20 mg/ml 2-8°C Берегти від світла
3 День
4989
Дані виробника про стабільність

Поліолефін Глюкоза 5% 20 mg/ml 25°C світло
24 годину
4989
Дані виробника про стабільність

Не визначено Натрію хлорид 0,9% 20 mg/ml 2-8°C Не визначено
6 День
4865
Дані виробника про стабільність

Не визначено Натрію хлорид 0,9% 20 mg/ml 25°C Не визначено
24 годину
4865
Дані виробника про стабільність

Не визначено Глюкоза 5% 2 mg/ml 2-8°C Не визначено
36 годину
4865
Дані виробника про стабільність

Не визначено Глюкоза 5% 2 mg/ml 25°C Не визначено
24 годину
4865
Дані виробника про стабільність

Не визначено Натрію хлорид 0,45% 2 mg/ml 2-8°C Не визначено
6 День
4865
Дані виробника про стабільність

Не визначено Натрію хлорид 0,45% 2 mg/ml 25°C Не визначено
24 годину
4865
Дані виробника про стабільність


  Mentions Légales