Dernière mise à jour :
27/01/2026
Anticancéreux   Cyclophosphamide  
injectable
Gélule Solution buvable
Stabilité des solutions Stabilité en mélange Facteur influençant la stabilité Compatibilités Voie d’administration Bibliographie pdf
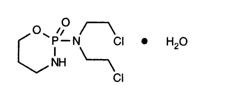
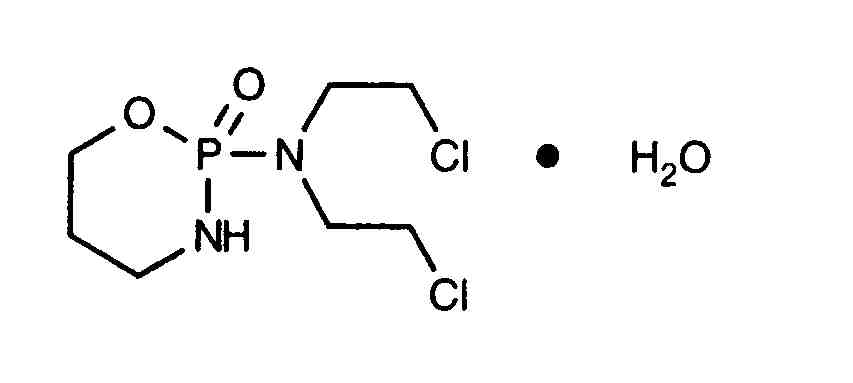
   Structure chimique  

Noms commerciaux   Noms commerciaux     

Les noms commerciaux sont donnés à titre indicatif et la composition en excipients peut être différente selon les pays et selon les laboratoires

Alkyloxan Egypte, Malaisie
Celomide Inde
Ciclofosfamida Argentine, Chili, Roumanie
Cicloxal Espagne
Cryofaxol Mexique
Cycloblastin Australie
Cycloblastine Pays bas
Cyclophosphamid Allemagne, Danemark
Cyclophosphamide Arabie Saoudite, Etats Unis d’Amérique, Grande Bretagne, Nouvelle Zélande
Cyclostin Allemagne
Cycloxan Malaisie
Cycram Egypte
Cytoxan Canada, Etats Unis d’Amérique, Hongrie
Eldamide Inde
Endoxan Allemagne, Arabie Saoudite, Australie, Autriche, Belgique, Chili, Colombie, Croatie, Emirats Arabes Unis , Equateur, France, Grèce, Hongrie, Inde, Iran, Italie, Luxembourg, Maroc, Nouvelle Zélande, Pays bas, Pologne, Portugal, Slovénie, Suisse, Thaïlande, Tunisie, Turquie, Vénézuela
Endoxana Grande Bretagne, Irlande
Formitex Colombie, Mexique
Genoxal Espagne
Genuxal Brésil
Hidrofosmin Mexique
Ledoxan Colombie
Ledoxina Colombie, Mexique
Neophos Egypte
Neosar Etats Unis d’Amérique
Procytox Canada
Sendoxan Danemark, Finlande, Islande, Norvège, Suède
Syklofosfamid Finlande, Turquie
Stabilité des solutions   injectable   Stabilité des solutions : Cyclophosphamide     
Contenant Solvant Concentration Température Conservation Durée de stabilité Bibliographie
Verre Eau pour préparation injectable 20 mg/ml 24-27°C Non précisée
4 Jour
1728
Niveau de preuve B

Verre Eau pour préparation injectable 20 mg/ml 4°C A l’abri de la lumière
7 Jour
172
Niveau de preuve A

Verre Eau pour préparation injectable 20 mg/ml 5°C A l’abri de la lumière
14 Jour
1728
Niveau de preuve B

Verre Chlorure de sodium 0,9% 0,4 mg/ml 2-8°C A l’abri de la lumière
14 Jour
1728
Niveau de preuve B

Verre Chlorure de sodium 0,9% 0,4 mg/ml 21-25°C Non précisée
6 Jour
1728
Niveau de preuve B

Verre Chlorure de sodium 0,9% 1 mg/ml 25°C A l’abri de la lumière
7 Jour
172
Niveau de preuve A

Verre Chlorure de sodium 0,9% 1 mg/ml 4°C A l’abri de la lumière
7 Jour
172
Niveau de preuve A

Verre Glucose 5% 1 mg/ml 25°C A l’abri de la lumière
7 Jour
172
Niveau de preuve A

Verre Glucose 5% 1 mg/ml 4°C A l’abri de la lumière
7 Jour
172
Niveau de preuve A

Polyvinyl chlorure Eau pour préparation injectable 20 mg/ml 4°C A l’abri de la lumière
7 Jour
172
Niveau de preuve A

Polyvinyl chlorure Chlorure de sodium 0,9% 1 mg/ml 25°C A l’abri de la lumière
7 Jour
172
Niveau de preuve A

Polyvinyl chlorure Chlorure de sodium 0,9% 1 mg/ml 4°C A l’abri de la lumière
7 Jour
172
Niveau de preuve A

Polyvinyl chlorure Chlorure de sodium 0,9% 10 mg/ml 4°C A l’abri de la lumière
30 Jour
40
Niveau de preuve D

Polyvinyl chlorure Glucose 5% 1 mg/ml 25°C A l’abri de la lumière
2 Jour
172
Niveau de preuve A

Polyvinyl chlorure Glucose 5% 1 mg/ml 4°C A l’abri de la lumière
7 Jour
172
Niveau de preuve A

Polyvinyl chlorure Glucose 5% 10 mg/ml 4°C A l’abri de la lumière
30 Jour
40
Niveau de preuve D

Polyéthylène Chlorure de sodium 0,9% 0,24 & 6,4 mg/ml 25°C A l’abri de la lumière
7 Jour
1520
Données de stabilité du fabricant

Polyéthylène Glucose 5% 0,24 & 6,4 mg/ml 25°C A l’abri de la lumière
7 Jour
1520
Données de stabilité du fabricant

Polyolefine Chlorure de sodium 0,9% 2 mg/ml 2-8°C A l’abri de la lumière
5 Jour
4989
Données de stabilité du fabricant

Polyolefine Chlorure de sodium 0,9% 2 mg/ml 25°C Lumière
60 Heure
4989
Données de stabilité du fabricant

Polyolefine Chlorure de sodium 0,9% 20 mg/ml 2-8°C A l’abri de la lumière
6 Jour
4989
Données de stabilité du fabricant

Polyolefine Chlorure de sodium 0,9% 20 mg/ml 25°C Lumière
24 Heure
4989
Données de stabilité du fabricant

Polyolefine Glucose 5% 2 mg/ml 2-8°C A l’abri de la lumière
6 Jour
4989
Données de stabilité du fabricant

Polyolefine Glucose 5% 2 mg/ml 25°C Lumière
60 Heure
4989
Données de stabilité du fabricant

Polyolefine Glucose 5% 20 mg/ml 2-8°C A l’abri de la lumière
3 Jour
4989
Données de stabilité du fabricant

Polyolefine Glucose 5% 20 mg/ml 25°C Lumière
24 Heure
4989
Données de stabilité du fabricant

Non précisé Chlorure de sodium 0,9% 20 mg/ml 2-8°C Non précisée
6 Jour
4865
Données de stabilité du fabricant

Non précisé Chlorure de sodium 0,9% 20 mg/ml 25°C Non précisée
24 Heure
4865
Données de stabilité du fabricant

Non précisé Glucose 5% 2 mg/ml 2-8°C Non précisée
36 Heure
4865
Données de stabilité du fabricant

Non précisé Glucose 5% 2 mg/ml 25°C Non précisée
24 Heure
4865
Données de stabilité du fabricant

Non précisé Chlorure de sodium 0,45% 2 mg/ml 2-8°C Non précisée
6 Jour
4865
Données de stabilité du fabricant

Non précisé Chlorure de sodium 0,45% 2 mg/ml 25°C Non précisée
24 Heure
4865
Données de stabilité du fabricant


  Mentions Légales