viimane versioon :
27/01/2026
vähiravimite   Cyclophosphamide  
Süsteravim
kapsel suukaudne lahus
Stabiilsus lahustes Stabiilsust mõjutavad tegurid stabiilsust mõjutavad faktorid Sobimatus Manustamis viis Viited pdf
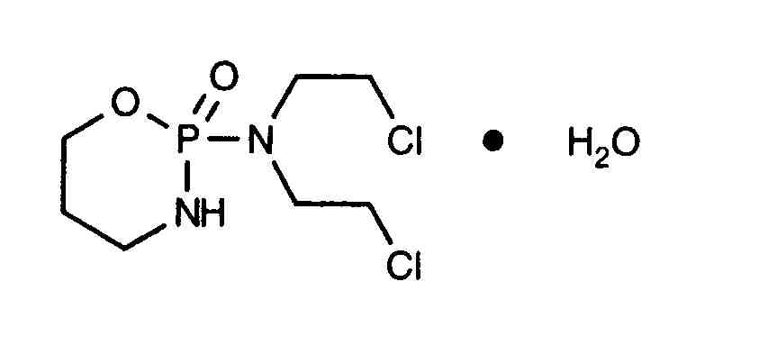
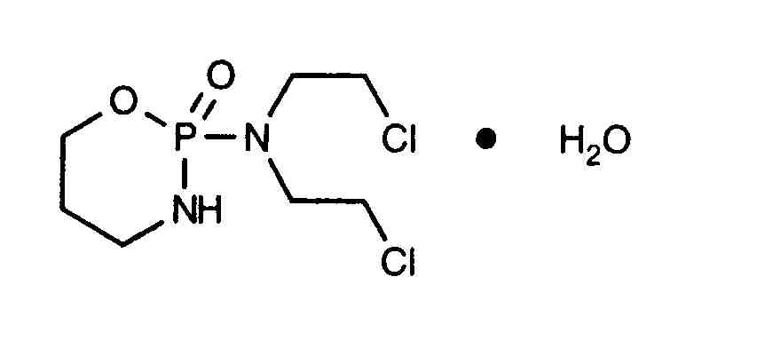
   keemiline struktuur  

Kaubanduslikud nimed erinevates maades   Kaubanduslikud nimed erinevates maades     

Preparaatide nimed on näitlikud ja abianete sisaldus võib erineda sõltuvalt riigist ja laborist

Alkyloxan Egiptus, Malaisia
Celomide India
Ciclofosfamida Argentiina, Rumeenia, Tšiili
Cicloxal Hispaania
Cryofaxol Mehhiko
Cycloblastin Austraalia
Cycloblastine Holland
Cyclophosphamid Saksamaa, Taani
Cyclophosphamide Ameerika ühendriigid, Saudi Araabia, Suurbritannia, uus-Meremaa
Cyclostin Saksamaa
Cycloxan Malaisia
Cycram Egiptus
Cytoxan Ameerika ühendriigid, Kanada, Ungari
Eldamide India
Endoxan Araabia Ühendemiraadid, Austraalia, Austria, Belgia, Ecuador, Holland, Horvaatia, India, Iraan, Itaalia, Kolumbia, Kreeka, Luksemburg, Maroko, Poola, Portugal, Prantsusmaa, Saksamaa, Saudi Araabia, Sloveenia, Sveits, Tai, Tšiili, Tuneesia, Türgi, Ungari, uus-Meremaa, Venetsueela
Endoxana Iirimaa, Suurbritannia
Formitex Kolumbia, Mehhiko
Genoxal Hispaania
Genuxal Brasiilia
Hidrofosmin Mehhiko
Ledoxan Kolumbia
Ledoxina Kolumbia, Mehhiko
Neophos Egiptus
Neosar Ameerika ühendriigid
Procytox Kanada
Sendoxan Island, Norra, Rootsi, Soome, Taani
Syklofosfamid Soome, Türgi
Stabiilsus lahustes   Süsteravim   Stabiilsus lahustes : Cyclophosphamide     
konteiner lahusti kontsentratsioon temperatuur ladustamine Stabiilsuse kestus Viited
klaas süstevesi 20 mg/ml 24-27°C pole täpsustatud
4 päev
1728
Tõenduspõhisuse tase B

klaas süstevesi 20 mg/ml 4°C kaitsta valguse eest
7 päev
172
Tõenduspõhisuse tase A

klaas süstevesi 20 mg/ml 5°C kaitsta valguse eest
14 päev
1728
Tõenduspõhisuse tase B

klaas naatriumkloriid 0.9% 0,4 mg/ml 2-8°C kaitsta valguse eest
14 päev
1728
Tõenduspõhisuse tase B

klaas naatriumkloriid 0.9% 0,4 mg/ml 21-25°C pole täpsustatud
6 päev
1728
Tõenduspõhisuse tase B

klaas naatriumkloriid 0.9% 1 mg/ml 25°C kaitsta valguse eest
7 päev
172
Tõenduspõhisuse tase A

klaas naatriumkloriid 0.9% 1 mg/ml 4°C kaitsta valguse eest
7 päev
172
Tõenduspõhisuse tase A

klaas glükoos 5% 1 mg/ml 25°C kaitsta valguse eest
7 päev
172
Tõenduspõhisuse tase A

klaas glükoos 5% 1 mg/ml 4°C kaitsta valguse eest
7 päev
172
Tõenduspõhisuse tase A

polüvinüülkloriid süstevesi 20 mg/ml 4°C kaitsta valguse eest
7 päev
172
Tõenduspõhisuse tase A

polüvinüülkloriid naatriumkloriid 0.9% 1 mg/ml 25°C kaitsta valguse eest
7 päev
172
Tõenduspõhisuse tase A

polüvinüülkloriid naatriumkloriid 0.9% 1 mg/ml 4°C kaitsta valguse eest
7 päev
172
Tõenduspõhisuse tase A

polüvinüülkloriid naatriumkloriid 0.9% 10 mg/ml 4°C kaitsta valguse eest
30 päev
40
Tõenduspõhisuse tase D

polüvinüülkloriid glükoos 5% 1 mg/ml 25°C kaitsta valguse eest
2 päev
172
Tõenduspõhisuse tase A

polüvinüülkloriid glükoos 5% 1 mg/ml 4°C kaitsta valguse eest
7 päev
172
Tõenduspõhisuse tase A

polüvinüülkloriid glükoos 5% 10 mg/ml 4°C kaitsta valguse eest
30 päev
40
Tõenduspõhisuse tase D

polüetüleen naatriumkloriid 0.9% 0,24 & 6,4 mg/ml 25°C kaitsta valguse eest
7 päev
1520
Tootja info stabiilsuse kohta

polüetüleen glükoos 5% 0,24 & 6,4 mg/ml 25°C kaitsta valguse eest
7 päev
1520
Tootja info stabiilsuse kohta

polüolefiin naatriumkloriid 0.9% 2 mg/ml 2-8°C kaitsta valguse eest
5 päev
4989
Tootja info stabiilsuse kohta

polüolefiin naatriumkloriid 0.9% 2 mg/ml 25°C valgus
60 Tund
4989
Tootja info stabiilsuse kohta

polüolefiin naatriumkloriid 0.9% 20 mg/ml 2-8°C kaitsta valguse eest
6 päev
4989
Tootja info stabiilsuse kohta

polüolefiin naatriumkloriid 0.9% 20 mg/ml 25°C valgus
24 Tund
4989
Tootja info stabiilsuse kohta

polüolefiin glükoos 5% 2 mg/ml 2-8°C kaitsta valguse eest
6 päev
4989
Tootja info stabiilsuse kohta

polüolefiin glükoos 5% 2 mg/ml 25°C valgus
60 Tund
4989
Tootja info stabiilsuse kohta

polüolefiin glükoos 5% 20 mg/ml 2-8°C kaitsta valguse eest
3 päev
4989
Tootja info stabiilsuse kohta

polüolefiin glükoos 5% 20 mg/ml 25°C valgus
24 Tund
4989
Tootja info stabiilsuse kohta

pole täpsustatud naatriumkloriid 0.9% 20 mg/ml 2-8°C pole täpsustatud
6 päev
4865
Tootja info stabiilsuse kohta

pole täpsustatud naatriumkloriid 0.9% 20 mg/ml 25°C pole täpsustatud
24 Tund
4865
Tootja info stabiilsuse kohta

pole täpsustatud glükoos 5% 2 mg/ml 2-8°C pole täpsustatud
36 Tund
4865
Tootja info stabiilsuse kohta

pole täpsustatud glükoos 5% 2 mg/ml 25°C pole täpsustatud
24 Tund
4865
Tootja info stabiilsuse kohta

pole täpsustatud naatriumkloriid 0.45% 2 mg/ml 2-8°C pole täpsustatud
6 päev
4865
Tootja info stabiilsuse kohta

pole täpsustatud naatriumkloriid 0.45% 2 mg/ml 25°C pole täpsustatud
24 Tund
4865
Tootja info stabiilsuse kohta


  Mentions Légales