Última actualização :
27/01/2026
droga contra o câncer   Cyclophosphamide  
injetável
Cápsula Solução Oral
Estabilidade em soluções simples Estabilidade em misturas Factores que afectam a sua estabilidade Compatibilidade Método de administração Bibliografía pdf
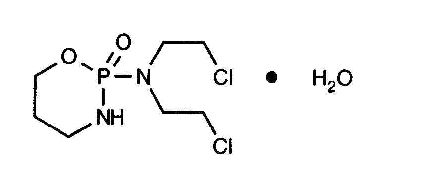
   estrutura química  

Nomes comerciais nos diversos países   Nomes comerciais nos diversos países     

OS NOMES COMERCIAIS SÃO INDICATIVOS E OS EXCIPIENTES DA FORMULAÇÃO PODEM SER DIFERENTES CONFORME O PAÍS E FABRICANTE.

Alkyloxan Egipto, Malásia
Celomide Índia
Ciclofosfamida Argentina, Chilli, Romènia
Cicloxal Espanha
Cryofaxol México
Cycloblastin Australia
Cycloblastine Países Baixos
Cyclophosphamid Alemanha, Dinamarca
Cyclophosphamide Arábia Saudita, Estados Unidos de América, Gran-bretanha, nova Zelândia
Cyclostin Alemanha
Cycloxan Malásia
Cycram Egipto
Cytoxan Canadá, Estados Unidos de América, Hungria
Eldamide Índia
Endoxan Alemanha, Arábia Saudita, Australia, Austria, Bélgica, Chilli, Colômbia, Croácia, Emirados Árabes Unidos, Equator, Eslovenia, França, Grècia, Hungria, Índia, Irã, Itália, Luxemburgo, Marrocos, nova Zelândia, Países Baixos, Polonia, Portugal, Suicia, Tailandia, Tunísia, Turquia, Venezuela
Endoxana Gran-bretanha, Irlanda
Formitex Colômbia, México
Genoxal Espanha
Genuxal Brasil
Hidrofosmin México
Ledoxan Colômbia
Ledoxina Colômbia, México
Neophos Egipto
Neosar Estados Unidos de América
Procytox Canadá
Sendoxan Dinamarca, Finlandia, Islandia, Noruega, Suècia
Syklofosfamid Finlandia, Turquia
Estabilidade em soluções simples   injetável   Estabilidade em soluções simples : Cyclophosphamide     
Embalagem Solvente concentração temperatura conservação Duração da estabilidade Bibliografia
vidro Agua para injectaveis 20 mg/ml 24-27°C no especificado
4 dia
1728
Nível de evidência B

vidro Agua para injectaveis 20 mg/ml 4°C ao abrigo da luz
7 dia
172
Nível de evidência A

vidro Agua para injectaveis 20 mg/ml 5°C ao abrigo da luz
14 dia
1728
Nível de evidência B

vidro cloreto de sódio 0,9% 0,4 mg/ml 2-8°C ao abrigo da luz
14 dia
1728
Nível de evidência B

vidro cloreto de sódio 0,9% 0,4 mg/ml 21-25°C no especificado
6 dia
1728
Nível de evidência B

vidro cloreto de sódio 0,9% 1 mg/ml 25°C ao abrigo da luz
7 dia
172
Nível de evidência A

vidro cloreto de sódio 0,9% 1 mg/ml 4°C ao abrigo da luz
7 dia
172
Nível de evidência A

vidro Glucose 5% 1 mg/ml 25°C ao abrigo da luz
7 dia
172
Nível de evidência A

vidro Glucose 5% 1 mg/ml 4°C ao abrigo da luz
7 dia
172
Nível de evidência A

Cloreto de polivinilo Agua para injectaveis 20 mg/ml 4°C ao abrigo da luz
7 dia
172
Nível de evidência A

Cloreto de polivinilo cloreto de sódio 0,9% 1 mg/ml 25°C ao abrigo da luz
7 dia
172
Nível de evidência A

Cloreto de polivinilo cloreto de sódio 0,9% 1 mg/ml 4°C ao abrigo da luz
7 dia
172
Nível de evidência A

Cloreto de polivinilo cloreto de sódio 0,9% 10 mg/ml 4°C ao abrigo da luz
30 dia
40
Nível de evidência D

Cloreto de polivinilo Glucose 5% 1 mg/ml 25°C ao abrigo da luz
2 dia
172
Nível de evidência A

Cloreto de polivinilo Glucose 5% 1 mg/ml 4°C ao abrigo da luz
7 dia
172
Nível de evidência A

Cloreto de polivinilo Glucose 5% 10 mg/ml 4°C ao abrigo da luz
30 dia
40
Nível de evidência D

Polietileno cloreto de sódio 0,9% 0,24 & 6,4 mg/ml 25°C ao abrigo da luz
7 dia
1520
Dados estabilidade do fabricante

Polietileno Glucose 5% 0,24 & 6,4 mg/ml 25°C ao abrigo da luz
7 dia
1520
Dados estabilidade do fabricante

Poliolefina cloreto de sódio 0,9% 2 mg/ml 2-8°C ao abrigo da luz
5 dia
4989
Dados estabilidade do fabricante

Poliolefina cloreto de sódio 0,9% 2 mg/ml 25°C luz
60 hora
4989
Dados estabilidade do fabricante

Poliolefina cloreto de sódio 0,9% 20 mg/ml 2-8°C ao abrigo da luz
6 dia
4989
Dados estabilidade do fabricante

Poliolefina cloreto de sódio 0,9% 20 mg/ml 25°C luz
24 hora
4989
Dados estabilidade do fabricante

Poliolefina Glucose 5% 2 mg/ml 2-8°C ao abrigo da luz
6 dia
4989
Dados estabilidade do fabricante

Poliolefina Glucose 5% 2 mg/ml 25°C luz
60 hora
4989
Dados estabilidade do fabricante

Poliolefina Glucose 5% 20 mg/ml 2-8°C ao abrigo da luz
3 dia
4989
Dados estabilidade do fabricante

Poliolefina Glucose 5% 20 mg/ml 25°C luz
24 hora
4989
Dados estabilidade do fabricante

no especificado cloreto de sódio 0,9% 20 mg/ml 2-8°C no especificado
6 dia
4865
Dados estabilidade do fabricante

no especificado cloreto de sódio 0,9% 20 mg/ml 25°C no especificado
24 hora
4865
Dados estabilidade do fabricante

no especificado Glucose 5% 2 mg/ml 2-8°C no especificado
36 hora
4865
Dados estabilidade do fabricante

no especificado Glucose 5% 2 mg/ml 25°C no especificado
24 hora
4865
Dados estabilidade do fabricante

no especificado cloreto de sódio 0,45% 2 mg/ml 2-8°C no especificado
6 dia
4865
Dados estabilidade do fabricante

no especificado cloreto de sódio 0,45% 2 mg/ml 25°C no especificado
24 hora
4865
Dados estabilidade do fabricante


  Mentions Légales