Last update :
27/01/2026
Anticancer drug   Cyclophosphamide  
injection
Capsule Oral solution
Stability in solutions Stability of mixtures Factors which affect stability Compatibility Route of administration References pdf
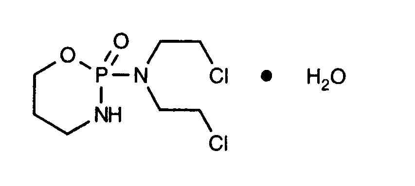
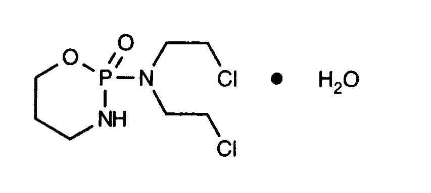
   Chemical structure  

Tradename   Tradename     

Trade names are indicative and excipients composition can be different depending on the country and manufacturers

Alkyloxan Egypt, Malaysia
Celomide India
Ciclofosfamida Argentina, Chile, Romania
Cicloxal Spain
Cryofaxol Mexico
Cycloblastin Australia
Cycloblastine Netherlands
Cyclophosphamid Denmark, Germany
Cyclophosphamide Great Britain, New Zealand, Saudi Arabia, United States of America
Cyclostin Germany
Cycloxan Malaysia
Cycram Egypt
Cytoxan Canada, Hungary, United States of America
Eldamide India
Endoxan Australia, Austria, Belgium, Chile, Colombia, Croatia, Ecuador, France, Germany, Greece, Hungary, India, Iran, Italy, Luxembourg, Morocco, Netherlands, New Zealand, Poland, Portugal, Saudi Arabia, Slovenia, Switzerland, Thailand, Tunisia, Turkey, United Arab Emirates, Venezuela
Endoxana Great Britain, Ireland
Formitex Colombia, Mexico
Genoxal Spain
Genuxal Brazil
Hidrofosmin Mexico
Ledoxan Colombia
Ledoxina Colombia, Mexico
Neophos Egypt
Neosar United States of America
Procytox Canada
Sendoxan Denmark, Finland, Iceland, Norway, Sweden
Syklofosfamid Finland, Turkey
Stability in solutions   injection   Stability in solutions : Cyclophosphamide     
Container Solvent Concentration Temperature Storage Duration of stability References
Glass Water for Injection 20 mg/ml 24-27°C Not specified
4 Day
1728
Level of evidence B

Glass Water for Injection 20 mg/ml 4°C Protect from light
7 Day
172
Level of evidence A

Glass Water for Injection 20 mg/ml 5°C Protect from light
14 Day
1728
Level of evidence B

Glass Sodium chloride 0,9% 0,4 mg/ml 2-8°C Protect from light
14 Day
1728
Level of evidence B

Glass Sodium chloride 0,9% 0,4 mg/ml 21-25°C Not specified
6 Day
1728
Level of evidence B

Glass Sodium chloride 0,9% 1 mg/ml 25°C Protect from light
7 Day
172
Level of evidence A

Glass Sodium chloride 0,9% 1 mg/ml 4°C Protect from light
7 Day
172
Level of evidence A

Glass Glucose 5% 1 mg/ml 25°C Protect from light
7 Day
172
Level of evidence A

Glass Glucose 5% 1 mg/ml 4°C Protect from light
7 Day
172
Level of evidence A

Polyvinyl chloride Water for Injection 20 mg/ml 4°C Protect from light
7 Day
172
Level of evidence A

Polyvinyl chloride Sodium chloride 0,9% 1 mg/ml 25°C Protect from light
7 Day
172
Level of evidence A

Polyvinyl chloride Sodium chloride 0,9% 1 mg/ml 4°C Protect from light
7 Day
172
Level of evidence A

Polyvinyl chloride Sodium chloride 0,9% 10 mg/ml 4°C Protect from light
30 Day
40
Level of evidence D

Polyvinyl chloride Glucose 5% 1 mg/ml 25°C Protect from light
2 Day
172
Level of evidence A

Polyvinyl chloride Glucose 5% 1 mg/ml 4°C Protect from light
7 Day
172
Level of evidence A

Polyvinyl chloride Glucose 5% 10 mg/ml 4°C Protect from light
30 Day
40
Level of evidence D

Polyethylene Sodium chloride 0,9% 0,24 & 6,4 mg/ml 25°C Protect from light
7 Day
1520
Manufacturer's stability data

Polyethylene Glucose 5% 0,24 & 6,4 mg/ml 25°C Protect from light
7 Day
1520
Manufacturer's stability data

Polyolefine Sodium chloride 0,9% 2 mg/ml 2-8°C Protect from light
5 Day
4989
Manufacturer's stability data

Polyolefine Sodium chloride 0,9% 2 mg/ml 25°C Light
60 Hour
4989
Manufacturer's stability data

Polyolefine Sodium chloride 0,9% 20 mg/ml 2-8°C Protect from light
6 Day
4989
Manufacturer's stability data

Polyolefine Sodium chloride 0,9% 20 mg/ml 25°C Light
24 Hour
4989
Manufacturer's stability data

Polyolefine Glucose 5% 2 mg/ml 2-8°C Protect from light
6 Day
4989
Manufacturer's stability data

Polyolefine Glucose 5% 2 mg/ml 25°C Light
60 Hour
4989
Manufacturer's stability data

Polyolefine Glucose 5% 20 mg/ml 2-8°C Protect from light
3 Day
4989
Manufacturer's stability data

Polyolefine Glucose 5% 20 mg/ml 25°C Light
24 Hour
4989
Manufacturer's stability data

Not specified Sodium chloride 0,9% 20 mg/ml 2-8°C Not specified
6 Day
4865
Manufacturer's stability data

Not specified Sodium chloride 0,9% 20 mg/ml 25°C Not specified
24 Hour
4865
Manufacturer's stability data

Not specified Glucose 5% 2 mg/ml 2-8°C Not specified
36 Hour
4865
Manufacturer's stability data

Not specified Glucose 5% 2 mg/ml 25°C Not specified
24 Hour
4865
Manufacturer's stability data

Not specified Sodium chloride 0,45% 2 mg/ml 2-8°C Not specified
6 Day
4865
Manufacturer's stability data

Not specified Sodium chloride 0,45% 2 mg/ml 25°C Not specified
24 Hour
4865
Manufacturer's stability data


  Mentions Légales