Τελευταία ενημέρωση :
27/01/2026
φάρμακο κατά του καρκίνου   Cyclophosphamide  
Ενέσιμο
Κάψουλα Πόσιμο διάλυμα
Σταθερότητα διαλυμάτων Σταθερότητα σε μίγματα Παράγοντας που επηρεάζει τη σταθερότητα Συμβατότητες Τρόπος χορήγησης Βιβλιογραφία pdf
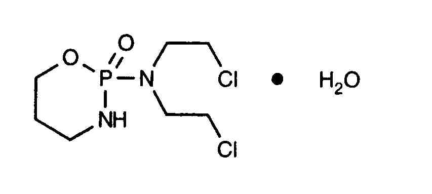
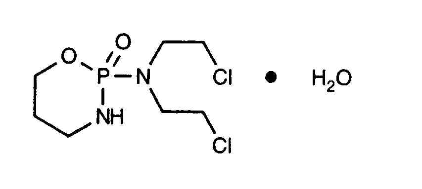
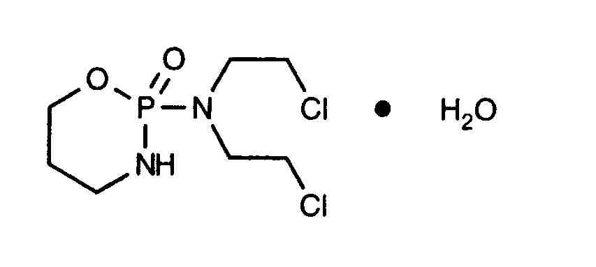
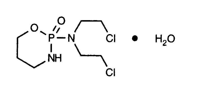
   χημική δομή  

Εμπορική ονομασία   Εμπορική ονομασία     

Οι εμπορικές ονομασίες είναι ενδεικτικές και η σύνθεση των εκδόχων μπορεί να διαφέρει ανάλογα με τη χώρα και τα εργαστήρια

Alkyloxan Αίγυπτος, Μαλαισία
Celomide Ινδία
Ciclofosfamida Αργεντινή, Ρουμανία, Χιλή
Cicloxal Ισπανία
Cryofaxol Μεξικό
Cycloblastin Αυστραλία
Cycloblastine Ολλανδία
Cyclophosphamid Γερμανία, Δανία
Cyclophosphamide Η.Π.Α., Μεγάλη Βρετανία, νέα Ζηλανδία, Σαουδική Αραβία
Cyclostin Γερμανία
Cycloxan Μαλαισία
Cycram Αίγυπτος
Cytoxan Η.Π.Α., Καναδάς, Ουγγαρία
Eldamide Ινδία
Endoxan Yhdistyneet arabiemiirikunnat, Αυστραλία, Αυστρία, Βέλγιο, Βενεζουέλα, Γαλλία, Γερμανία, Εκουαδόρ, Ελβετία, Ελλάδα, Ινδία, Ιράν, Ιταλία, Κολομβία, Κροατία, Λουξεμβούργο, Μαρόκο, νέα Ζηλανδία, Ολλανδία, Ουγγαρία, Πολωνία, Πορτογαλία, Σαουδική Αραβία, Σλοβενία, Ταϊλάνδη, Τουρκία, Τυνησία, Χιλή
Endoxana Ιρλανδία, Μεγάλη Βρετανία
Formitex Κολομβία, Μεξικό
Genoxal Ισπανία
Genuxal Βραζιλία
Hidrofosmin Μεξικό
Ledoxan Κολομβία
Ledoxina Κολομβία, Μεξικό
Neophos Αίγυπτος
Neosar Η.Π.Α.
Procytox Καναδάς
Sendoxan Δανία, Ισλανδία, Νορβηγία, Σουηδία, Φινλανδία
Syklofosfamid Τουρκία, Φινλανδία
Σταθερότητα διαλυμάτων   Ενέσιμο   Σταθερότητα διαλυμάτων : Cyclophosphamide     
Υποδοχέας Διαλυτικό Συγκέντρωση Θερμοκρασία Αποθήκευση Διάρκεια σταθερότητας Βιβλιογραφία
Ύαλος Ενέσιμο ύδωρ 20 mg/ml 24-27°C Απροσδιόριστο
4 Ημέρα
1728
Επίπεδο των αποδεικτικών στοιχείων B

Ύαλος Ενέσιμο ύδωρ 20 mg/ml 4°C Προστατεύετε από το φως
7 Ημέρα
172
Επίπεδο των αποδεικτικών στοιχείων A

Ύαλος Ενέσιμο ύδωρ 20 mg/ml 5°C Προστατεύετε από το φως
14 Ημέρα
1728
Επίπεδο των αποδεικτικών στοιχείων B

Ύαλος Χλωριούχο νάτριο 0,9% 0,4 mg/ml 2-8°C Προστατεύετε από το φως
14 Ημέρα
1728
Επίπεδο των αποδεικτικών στοιχείων B

Ύαλος Χλωριούχο νάτριο 0,9% 0,4 mg/ml 21-25°C Απροσδιόριστο
6 Ημέρα
1728
Επίπεδο των αποδεικτικών στοιχείων B

Ύαλος Χλωριούχο νάτριο 0,9% 1 mg/ml 25°C Προστατεύετε από το φως
7 Ημέρα
172
Επίπεδο των αποδεικτικών στοιχείων A

Ύαλος Χλωριούχο νάτριο 0,9% 1 mg/ml 4°C Προστατεύετε από το φως
7 Ημέρα
172
Επίπεδο των αποδεικτικών στοιχείων A

Ύαλος Γλυκόζη 5% 1 mg/ml 25°C Προστατεύετε από το φως
7 Ημέρα
172
Επίπεδο των αποδεικτικών στοιχείων A

Ύαλος Γλυκόζη 5% 1 mg/ml 4°C Προστατεύετε από το φως
7 Ημέρα
172
Επίπεδο των αποδεικτικών στοιχείων A

Πολυβινυλοχλωρίδιο Ενέσιμο ύδωρ 20 mg/ml 4°C Προστατεύετε από το φως
7 Ημέρα
172
Επίπεδο των αποδεικτικών στοιχείων A

Πολυβινυλοχλωρίδιο Χλωριούχο νάτριο 0,9% 1 mg/ml 25°C Προστατεύετε από το φως
7 Ημέρα
172
Επίπεδο των αποδεικτικών στοιχείων A

Πολυβινυλοχλωρίδιο Χλωριούχο νάτριο 0,9% 1 mg/ml 4°C Προστατεύετε από το φως
7 Ημέρα
172
Επίπεδο των αποδεικτικών στοιχείων A

Πολυβινυλοχλωρίδιο Χλωριούχο νάτριο 0,9% 10 mg/ml 4°C Προστατεύετε από το φως
30 Ημέρα
40
Επίπεδο των αποδεικτικών στοιχείων D

Πολυβινυλοχλωρίδιο Γλυκόζη 5% 1 mg/ml 25°C Προστατεύετε από το φως
2 Ημέρα
172
Επίπεδο των αποδεικτικών στοιχείων A

Πολυβινυλοχλωρίδιο Γλυκόζη 5% 1 mg/ml 4°C Προστατεύετε από το φως
7 Ημέρα
172
Επίπεδο των αποδεικτικών στοιχείων A

Πολυβινυλοχλωρίδιο Γλυκόζη 5% 10 mg/ml 4°C Προστατεύετε από το φως
30 Ημέρα
40
Επίπεδο των αποδεικτικών στοιχείων D

Πολυαιθυλένιο Χλωριούχο νάτριο 0,9% 0,24 & 6,4 mg/ml 25°C Προστατεύετε από το φως
7 Ημέρα
1520
Δεδομένα σταθερότητας του κατασκευαστή/ών

Πολυαιθυλένιο Γλυκόζη 5% 0,24 & 6,4 mg/ml 25°C Προστατεύετε από το φως
7 Ημέρα
1520
Δεδομένα σταθερότητας του κατασκευαστή/ών

Πολυολεφίνη Χλωριούχο νάτριο 0,9% 2 mg/ml 2-8°C Προστατεύετε από το φως
5 Ημέρα
4989
Δεδομένα σταθερότητας του κατασκευαστή/ών

Πολυολεφίνη Χλωριούχο νάτριο 0,9% 2 mg/ml 25°C Φως
60 Ώρα
4989
Δεδομένα σταθερότητας του κατασκευαστή/ών

Πολυολεφίνη Χλωριούχο νάτριο 0,9% 20 mg/ml 2-8°C Προστατεύετε από το φως
6 Ημέρα
4989
Δεδομένα σταθερότητας του κατασκευαστή/ών

Πολυολεφίνη Χλωριούχο νάτριο 0,9% 20 mg/ml 25°C Φως
24 Ώρα
4989
Δεδομένα σταθερότητας του κατασκευαστή/ών

Πολυολεφίνη Γλυκόζη 5% 2 mg/ml 2-8°C Προστατεύετε από το φως
6 Ημέρα
4989
Δεδομένα σταθερότητας του κατασκευαστή/ών

Πολυολεφίνη Γλυκόζη 5% 2 mg/ml 25°C Φως
60 Ώρα
4989
Δεδομένα σταθερότητας του κατασκευαστή/ών

Πολυολεφίνη Γλυκόζη 5% 20 mg/ml 2-8°C Προστατεύετε από το φως
3 Ημέρα
4989
Δεδομένα σταθερότητας του κατασκευαστή/ών

Πολυολεφίνη Γλυκόζη 5% 20 mg/ml 25°C Φως
24 Ώρα
4989
Δεδομένα σταθερότητας του κατασκευαστή/ών

Απροσδιόριστο Χλωριούχο νάτριο 0,9% 20 mg/ml 2-8°C Απροσδιόριστο
6 Ημέρα
4865
Δεδομένα σταθερότητας του κατασκευαστή/ών

Απροσδιόριστο Χλωριούχο νάτριο 0,9% 20 mg/ml 25°C Απροσδιόριστο
24 Ώρα
4865
Δεδομένα σταθερότητας του κατασκευαστή/ών

Απροσδιόριστο Γλυκόζη 5% 2 mg/ml 2-8°C Απροσδιόριστο
36 Ώρα
4865
Δεδομένα σταθερότητας του κατασκευαστή/ών

Απροσδιόριστο Γλυκόζη 5% 2 mg/ml 25°C Απροσδιόριστο
24 Ώρα
4865
Δεδομένα σταθερότητας του κατασκευαστή/ών

Απροσδιόριστο Χλωριούχο νάτριο 0,45% 2 mg/ml 2-8°C Απροσδιόριστο
6 Ημέρα
4865
Δεδομένα σταθερότητας του κατασκευαστή/ών

Απροσδιόριστο Χλωριούχο νάτριο 0,45% 2 mg/ml 25°C Απροσδιόριστο
24 Ώρα
4865
Δεδομένα σταθερότητας του κατασκευαστή/ών


  Mentions Légales