Ultimele actualizari :
27/01/2026
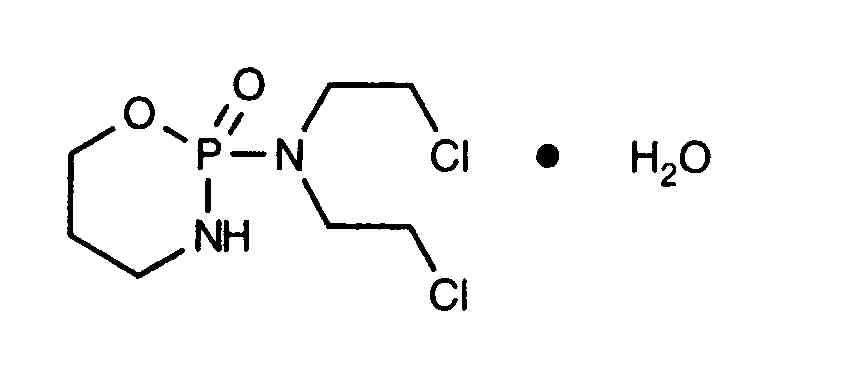
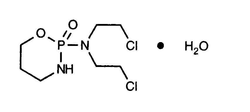
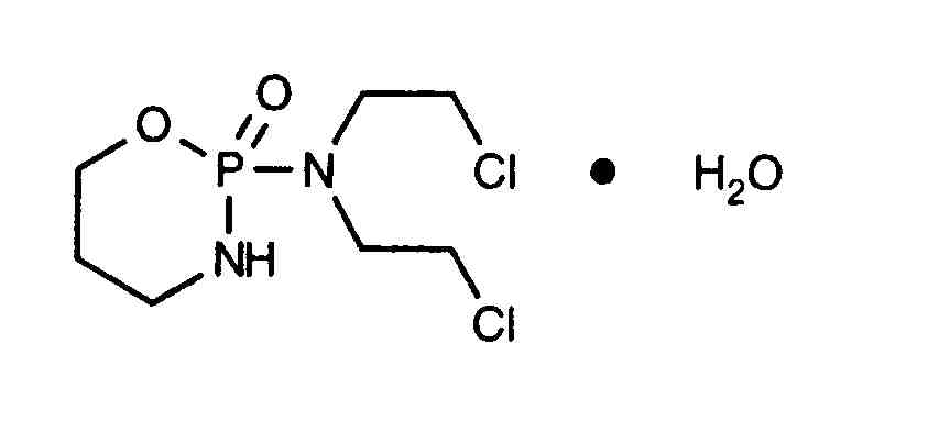
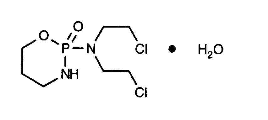
Citostatic   Cyclophosphamide  
Injectabil
Capsulă Soluţie orală
Stabilitatea in solutie Stabilitatea in amestec Factorii care influenteaza stabilitatea Compatibilitate Microunde Bibliografie pdf
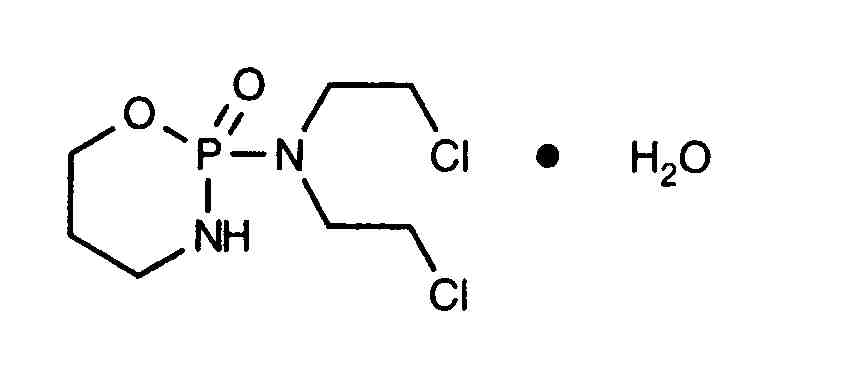
   Formula chimica  

Denumirea comerciala   Denumirea comerciala     

Trade names are indicative and excipients composition can be different depending on the country and manufacturers

Alkyloxan Egipt, Malaezia
Celomide India
Ciclofosfamida Argentina, Chilli, Romania
Cicloxal Spania
Cryofaxol Mexic
Cycloblastin Australia
Cycloblastine Olanda
Cyclophosphamid Danemarca, Germania
Cyclophosphamide Arabia Saudita, Marea Britanie, noua Zeelandă, SUA
Cyclostin Germania
Cycloxan Malaezia
Cycram Egipt
Cytoxan Canada, SUA, Ungaria
Eldamide India
Endoxan Arabia Saudita, Australia, Austria, Belgia, Chilli, Columbia, Croatia, Ecuador, Elvetia, Emiratele Arabe Unite, Franta, Germania, Grecia, India, Iran, Italia, Luxemburg, Maroc, noua Zeelandă, Olanda, Polonia, Portugalia, Slovenia, Tailanda, Tunisia, Turcia, Ungaria, Venezuela
Endoxana Irlanda, Marea Britanie
Formitex Columbia, Mexic
Genoxal Spania
Genuxal Brazilia
Hidrofosmin Mexic
Ledoxan Columbia
Ledoxina Columbia, Mexic
Neophos Egipt
Neosar SUA
Procytox Canada
Sendoxan Danemarca, Finlanda, Islanda, Norvegia, Suedia
Syklofosfamid Finlanda, Turcia
Stabilitatea in solutie   Injectabil   Stabilitatea in solutie : Cyclophosphamide     
Continut Solvent Concentratie Temperatura Conservare Durata stabilității Bibiografie
sticla apa pentru preparate injectabile 20 mg/ml 24-27°C Neprecizat
4 Ziua
1728
Nivel de evidență B

sticla apa pentru preparate injectabile 20 mg/ml 4°C Ferit de lumina
7 Ziua
172
Nivel de evidență A

sticla apa pentru preparate injectabile 20 mg/ml 5°C Ferit de lumina
14 Ziua
1728
Nivel de evidență B

sticla clorura de sodiu 0,9% 0,4 mg/ml 2-8°C Ferit de lumina
14 Ziua
1728
Nivel de evidență B

sticla clorura de sodiu 0,9% 0,4 mg/ml 21-25°C Neprecizat
6 Ziua
1728
Nivel de evidență B

sticla clorura de sodiu 0,9% 1 mg/ml 25°C Ferit de lumina
7 Ziua
172
Nivel de evidență A

sticla clorura de sodiu 0,9% 1 mg/ml 4°C Ferit de lumina
7 Ziua
172
Nivel de evidență A

sticla Glucoza 5% 1 mg/ml 25°C Ferit de lumina
7 Ziua
172
Nivel de evidență A

sticla Glucoza 5% 1 mg/ml 4°C Ferit de lumina
7 Ziua
172
Nivel de evidență A

clorura de polivinil apa pentru preparate injectabile 20 mg/ml 4°C Ferit de lumina
7 Ziua
172
Nivel de evidență A

clorura de polivinil clorura de sodiu 0,9% 1 mg/ml 25°C Ferit de lumina
7 Ziua
172
Nivel de evidență A

clorura de polivinil clorura de sodiu 0,9% 1 mg/ml 4°C Ferit de lumina
7 Ziua
172
Nivel de evidență A

clorura de polivinil clorura de sodiu 0,9% 10 mg/ml 4°C Ferit de lumina
30 Ziua
40
Nivel de evidență D

clorura de polivinil Glucoza 5% 1 mg/ml 25°C Ferit de lumina
2 Ziua
172
Nivel de evidență A

clorura de polivinil Glucoza 5% 1 mg/ml 4°C Ferit de lumina
7 Ziua
172
Nivel de evidență A

clorura de polivinil Glucoza 5% 10 mg/ml 4°C Ferit de lumina
30 Ziua
40
Nivel de evidență D

polietilen clorura de sodiu 0,9% 0,24 & 6,4 mg/ml 25°C Ferit de lumina
7 Ziua
1520
Documentele de stabilitate ale producătorului

polietilen Glucoza 5% 0,24 & 6,4 mg/ml 25°C Ferit de lumina
7 Ziua
1520
Documentele de stabilitate ale producătorului

poliolefine clorura de sodiu 0,9% 2 mg/ml 2-8°C Ferit de lumina
5 Ziua
4989
Documentele de stabilitate ale producătorului

poliolefine clorura de sodiu 0,9% 2 mg/ml 25°C Lumina
60 Ora
4989
Documentele de stabilitate ale producătorului

poliolefine clorura de sodiu 0,9% 20 mg/ml 2-8°C Ferit de lumina
6 Ziua
4989
Documentele de stabilitate ale producătorului

poliolefine clorura de sodiu 0,9% 20 mg/ml 25°C Lumina
24 Ora
4989
Documentele de stabilitate ale producătorului

poliolefine Glucoza 5% 2 mg/ml 2-8°C Ferit de lumina
6 Ziua
4989
Documentele de stabilitate ale producătorului

poliolefine Glucoza 5% 2 mg/ml 25°C Lumina
60 Ora
4989
Documentele de stabilitate ale producătorului

poliolefine Glucoza 5% 20 mg/ml 2-8°C Ferit de lumina
3 Ziua
4989
Documentele de stabilitate ale producătorului

poliolefine Glucoza 5% 20 mg/ml 25°C Lumina
24 Ora
4989
Documentele de stabilitate ale producătorului

neprecizat clorura de sodiu 0,9% 20 mg/ml 2-8°C Neprecizat
6 Ziua
4865
Documentele de stabilitate ale producătorului

neprecizat clorura de sodiu 0,9% 20 mg/ml 25°C Neprecizat
24 Ora
4865
Documentele de stabilitate ale producătorului

neprecizat Glucoza 5% 2 mg/ml 2-8°C Neprecizat
36 Ora
4865
Documentele de stabilitate ale producătorului

neprecizat Glucoza 5% 2 mg/ml 25°C Neprecizat
24 Ora
4865
Documentele de stabilitate ale producătorului

neprecizat clorura de sodiu 0,45% 2 mg/ml 2-8°C Neprecizat
6 Ziua
4865
Documentele de stabilitate ale producătorului

neprecizat clorura de sodiu 0,45% 2 mg/ml 25°C Neprecizat
24 Ora
4865
Documentele de stabilitate ale producătorului


  Mentions Légales