Siste oppdatering :
27/01/2026
kreft narkotika   Cyclophosphamide  
Injeksjon
Kapsel Mikstur
Oppløsningsstabilitet Stabilitet i blandinger Faktorer som påvirker stabiliteten Kompatibilitet Administrasjonsmåte Referanser pdf
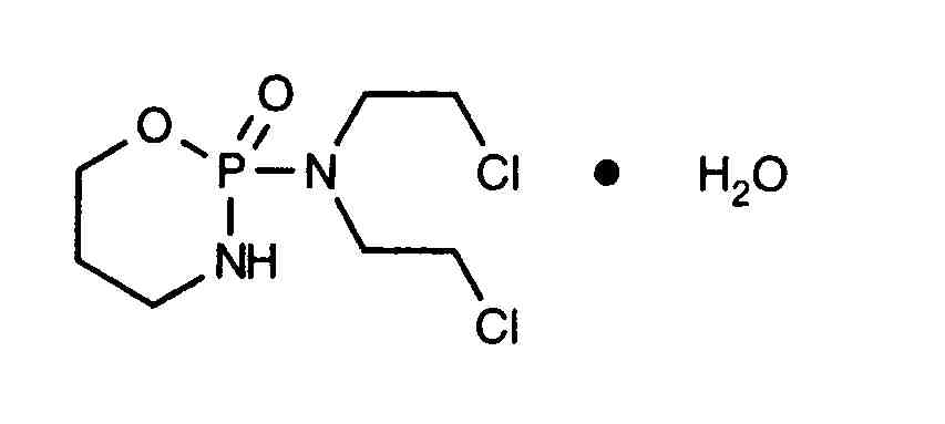
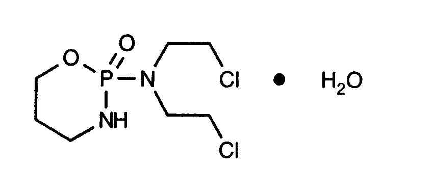
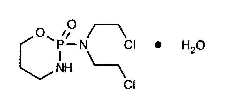
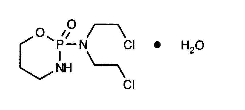
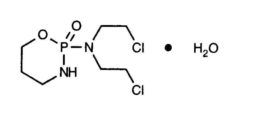
   Kjemisk struktur  

Handelsnavn   Handelsnavn     

Handelsnavn er veiledende og sammensetning av hjelpestoffer kan være forskjellig avhengig av land og produsent

Alkyloxan Egypt, Malaysia
Celomide India
Ciclofosfamida Argentina, Chile, Romania
Cicloxal Spania
Cryofaxol Mexico
Cycloblastin Australia
Cycloblastine Nederland
Cyclophosphamid Danmark, Tyskland
Cyclophosphamide New Zealand, Saudi-Arabia, Storbritannia, USA
Cyclostin Tyskland
Cycloxan Malaysia
Cycram Egypt
Cytoxan Canada, Ungarn, USA
Eldamide India
Endoxan Australia, Belgia, Chile, Colombia, De forente arabiske emirater, Ecuador, Frankrike, Hellas, India, Iran, Italia, Kroatia, Luxembourg, Marokko, Nederland, New Zealand, Polen, Portugal, Saudi-Arabia, Slovenia, Sveits, Thailand, Tunisia, Tyrkia, Tyskland, Ungarn, Venezuela, Østerrike
Endoxana Irland, Storbritannia
Formitex Colombia, Mexico
Genoxal Spania
Genuxal Brasil
Hidrofosmin Mexico
Ledoxan Colombia
Ledoxina Colombia, Mexico
Neophos Egypt
Neosar USA
Procytox Canada
Sendoxan Danmark, Finland, Island, Norge, Sverige
Syklofosfamid Finland, Tyrkia
Oppløsningsstabilitet   Injeksjon   Oppløsningsstabilitet : Cyclophosphamide     
Beholder Oppløsningsmiddel Konsentrasjon Temperatur Oppbevaring Varighet av stabilitet Referanser
Glass Vann til injeksjon 20 mg/ml 24-27°C Ikke angitt
4 Dag
1728
Bevisgrad B

Glass Vann til injeksjon 20 mg/ml 4°C Beskyttes mot lys
7 Dag
172
Bevisgrad A

Glass Vann til injeksjon 20 mg/ml 5°C Beskyttes mot lys
14 Dag
1728
Bevisgrad B

Glass Natriumklorid 0,9 % 0,4 mg/ml 2-8°C Beskyttes mot lys
14 Dag
1728
Bevisgrad B

Glass Natriumklorid 0,9 % 0,4 mg/ml 21-25°C Ikke angitt
6 Dag
1728
Bevisgrad B

Glass Natriumklorid 0,9 % 1 mg/ml 25°C Beskyttes mot lys
7 Dag
172
Bevisgrad A

Glass Natriumklorid 0,9 % 1 mg/ml 4°C Beskyttes mot lys
7 Dag
172
Bevisgrad A

Glass Glukose 5 % 1 mg/ml 25°C Beskyttes mot lys
7 Dag
172
Bevisgrad A

Glass Glukose 5 % 1 mg/ml 4°C Beskyttes mot lys
7 Dag
172
Bevisgrad A

Polyvinylklorid Vann til injeksjon 20 mg/ml 4°C Beskyttes mot lys
7 Dag
172
Bevisgrad A

Polyvinylklorid Natriumklorid 0,9 % 1 mg/ml 25°C Beskyttes mot lys
7 Dag
172
Bevisgrad A

Polyvinylklorid Natriumklorid 0,9 % 1 mg/ml 4°C Beskyttes mot lys
7 Dag
172
Bevisgrad A

Polyvinylklorid Natriumklorid 0,9 % 10 mg/ml 4°C Beskyttes mot lys
30 Dag
40
Bevisgrad D

Polyvinylklorid Glukose 5 % 1 mg/ml 25°C Beskyttes mot lys
2 Dag
172
Bevisgrad A

Polyvinylklorid Glukose 5 % 1 mg/ml 4°C Beskyttes mot lys
7 Dag
172
Bevisgrad A

Polyvinylklorid Glukose 5 % 10 mg/ml 4°C Beskyttes mot lys
30 Dag
40
Bevisgrad D

Polyetylen Natriumklorid 0,9 % 0,24 & 6,4 mg/ml 25°C Beskyttes mot lys
7 Dag
1520
Stabilitetsopplysninger fra produsent

Polyetylen Glukose 5 % 0,24 & 6,4 mg/ml 25°C Beskyttes mot lys
7 Dag
1520
Stabilitetsopplysninger fra produsent

Polyolefin Natriumklorid 0,9 % 2 mg/ml 2-8°C Beskyttes mot lys
5 Dag
4989
Stabilitetsopplysninger fra produsent

Polyolefin Natriumklorid 0,9 % 2 mg/ml 25°C Lys
60 Tid
4989
Stabilitetsopplysninger fra produsent

Polyolefin Natriumklorid 0,9 % 20 mg/ml 2-8°C Beskyttes mot lys
6 Dag
4989
Stabilitetsopplysninger fra produsent

Polyolefin Natriumklorid 0,9 % 20 mg/ml 25°C Lys
24 Tid
4989
Stabilitetsopplysninger fra produsent

Polyolefin Glukose 5 % 2 mg/ml 2-8°C Beskyttes mot lys
6 Dag
4989
Stabilitetsopplysninger fra produsent

Polyolefin Glukose 5 % 2 mg/ml 25°C Lys
60 Tid
4989
Stabilitetsopplysninger fra produsent

Polyolefin Glukose 5 % 20 mg/ml 2-8°C Beskyttes mot lys
3 Dag
4989
Stabilitetsopplysninger fra produsent

Polyolefin Glukose 5 % 20 mg/ml 25°C Lys
24 Tid
4989
Stabilitetsopplysninger fra produsent

Ikke angitt Natriumklorid 0,9 % 20 mg/ml 2-8°C Ikke angitt
6 Dag
4865
Stabilitetsopplysninger fra produsent

Ikke angitt Natriumklorid 0,9 % 20 mg/ml 25°C Ikke angitt
24 Tid
4865
Stabilitetsopplysninger fra produsent

Ikke angitt Glukose 5 % 2 mg/ml 2-8°C Ikke angitt
36 Tid
4865
Stabilitetsopplysninger fra produsent

Ikke angitt Glukose 5 % 2 mg/ml 25°C Ikke angitt
24 Tid
4865
Stabilitetsopplysninger fra produsent

Ikke angitt Natriumklorid 0,45 % 2 mg/ml 2-8°C Ikke angitt
6 Dag
4865
Stabilitetsopplysninger fra produsent

Ikke angitt Natriumklorid 0,45 % 2 mg/ml 25°C Ikke angitt
24 Tid
4865
Stabilitetsopplysninger fra produsent


  Mentions Légales