Seneste opdatering :
05/12/2025
Generel anæstesi   Amobarbital sodium  
Injektion
Stabilitet i (vandige) opløsninger Stabilitet i blandinger Faktorer der påvirker stabiliteten Kompatibilitet Administrationsvej Bibliografi pdf
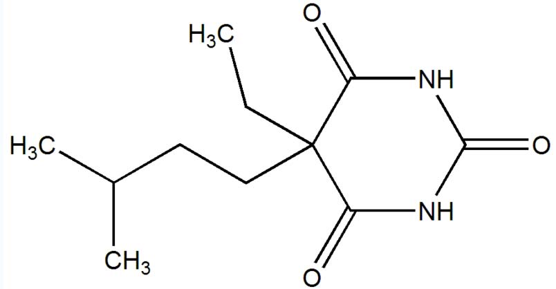
   Kemisk struktur  

Handelsnavn   Handelsnavn     

Handel navne er vejledende og hjælpestoffer sammensætning kan være forskellig afhængigt af landet og laboratorier

Amytal Sodium USA

Faktorer der påvirker stabiliteten   Injektion   Faktorer der påvirker stabiliteten : Amobarbital sodium        
Ingen data

  Mentions Légales