viimane versioon :
05/12/2025
üldanesteetikum   Amobarbital sodium  
Süsteravim
Stabiilsus lahustes Stabiilsust mõjutavad tegurid stabiilsust mõjutavad faktorid Sobimatus Manustamis viis Viited pdf
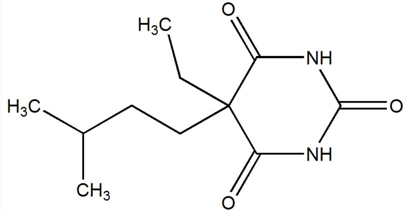
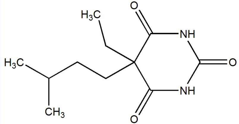
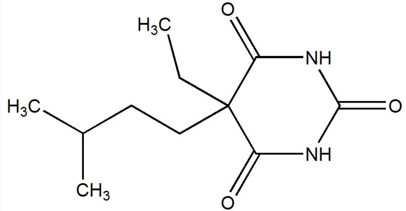
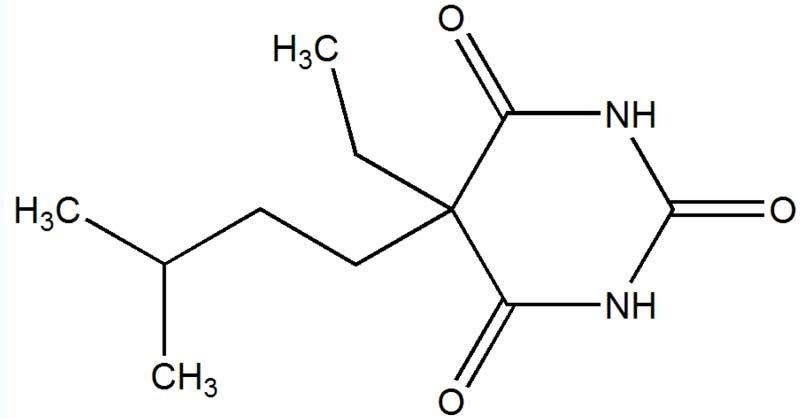
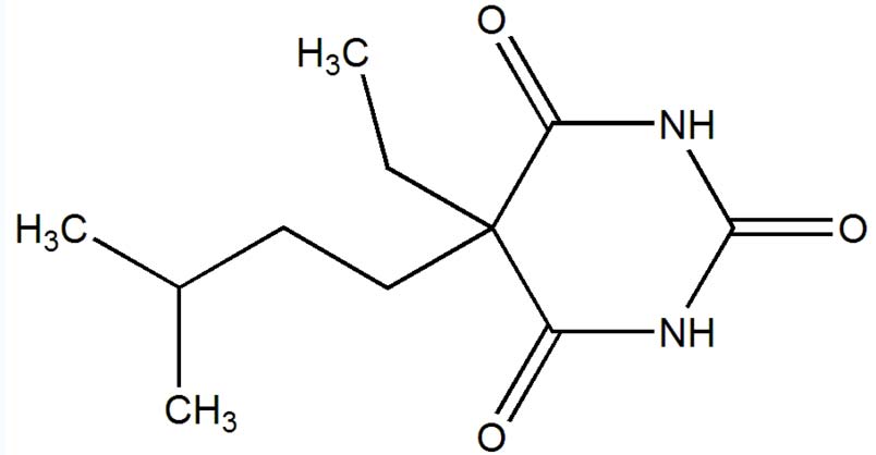
   keemiline struktuur  

Kaubanduslikud nimed erinevates maades   Kaubanduslikud nimed erinevates maades     

Preparaatide nimed on näitlikud ja abianete sisaldus võib erineda sõltuvalt riigist ja laborist

Amytal Sodium Ameerika ühendriigid

stabiilsust mõjutavad faktorid   Süsteravim   stabiilsust mõjutavad faktorid : Amobarbital sodium        
andmed puuduvad

  Mentions Légales