Poslední aktualizace :
05/12/2025
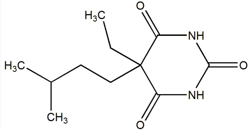
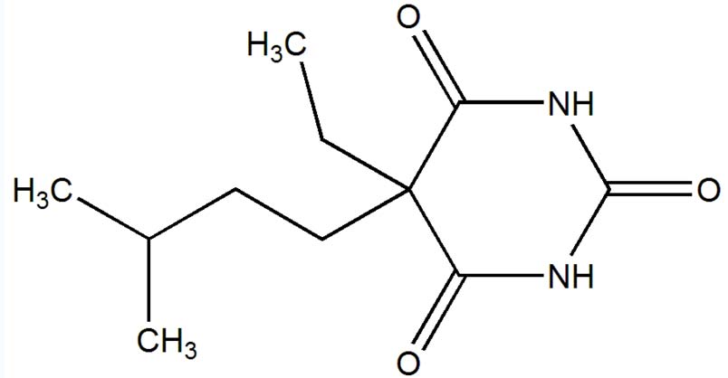
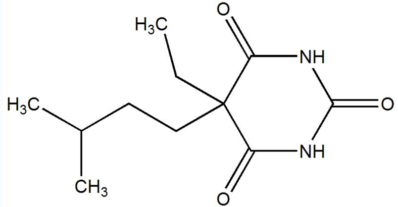
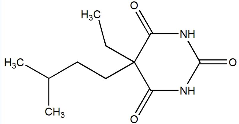
Centrální anestetikum   Amobarbital sodium  
injekce
Stabilita roztoků Stabilita směsí Faktory ovlivňující stabilitu Kompatibilita Způsoby aplikace Odkazy pdf
   Chemický vzorec  

Obchodní název   Obchodní název     

Trade names are indicative and excipients composition can be different depending on the country and manufacturers

Amytal Sodium USA

Faktory ovlivňující stabilitu   injekce   Faktory ovlivňující stabilitu : Amobarbital sodium        
žádná data

  Mentions Légales