Pēdējā atjaunošana :
03/03/2026
Vispārējās anestēzijas līdzeklis   Amobarbital sodium  
Injekcija
Šķīduma stabilitāte Maisījuma stabilitāte Stabilitāti ietekmējoši faktori Saderība Levadīšanas veids Literatūras saraksts pdf
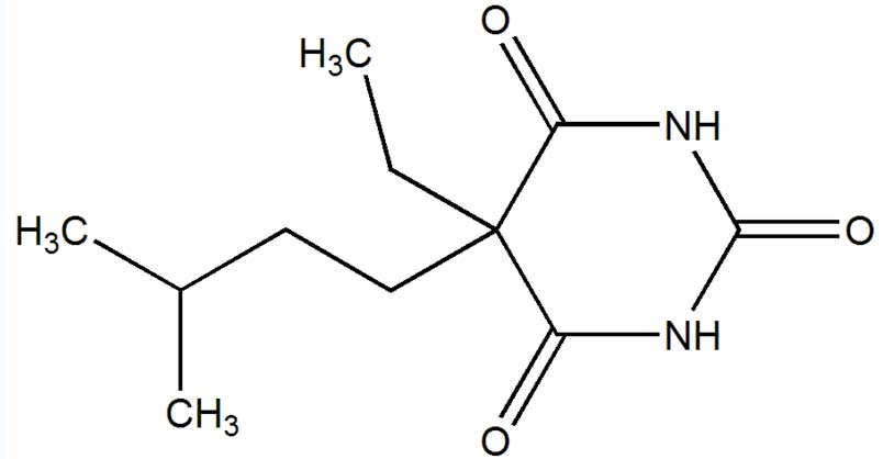
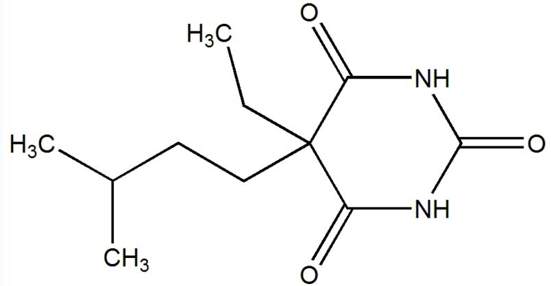
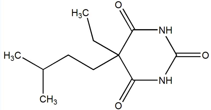
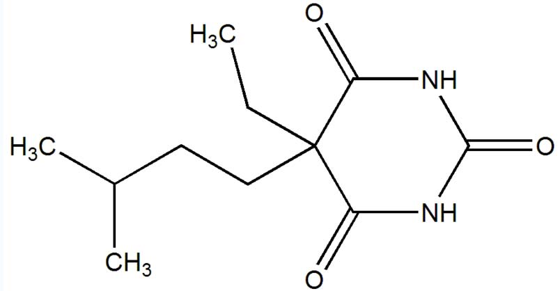
   Ķīmiskā uzbūve   

Oriģinālais nosaukums   Oriģinālais nosaukums     

Tirdzniecības nosaukumi ir apzīmējoši un palīgvielas var atšķirties dažādām valstīm un laboratorijām

Amytal Sodium Amerikas Savienotās Valstis

Stabilitāti ietekmējoši faktori   Injekcija   Stabilitāti ietekmējoši faktori : Amobarbital sodium        
Nav datu

  Mentions Légales