Senaste uppdateringen :
05/12/2025
Narkosmedel   Amobarbital sodium  
injektion
Lösningars stabilitet Stabilitet i blandningar Faktorer som påverkar stabiliteten Kompatibilitet Administreringssätt Hänvisningar pdf
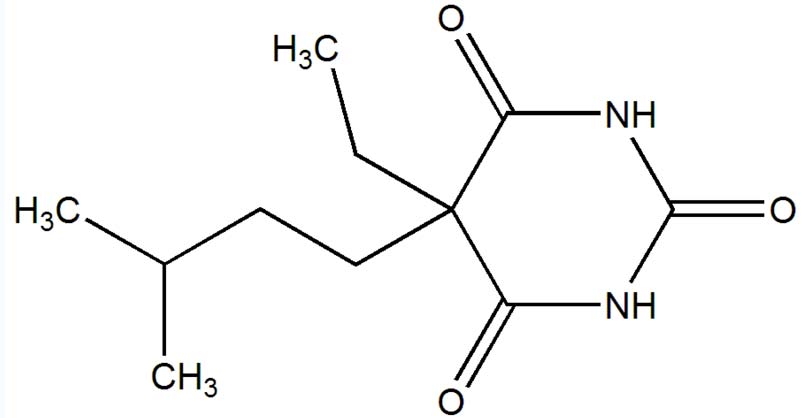
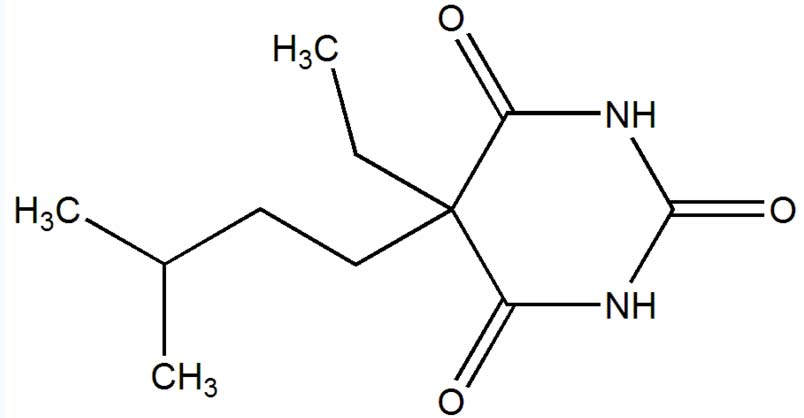
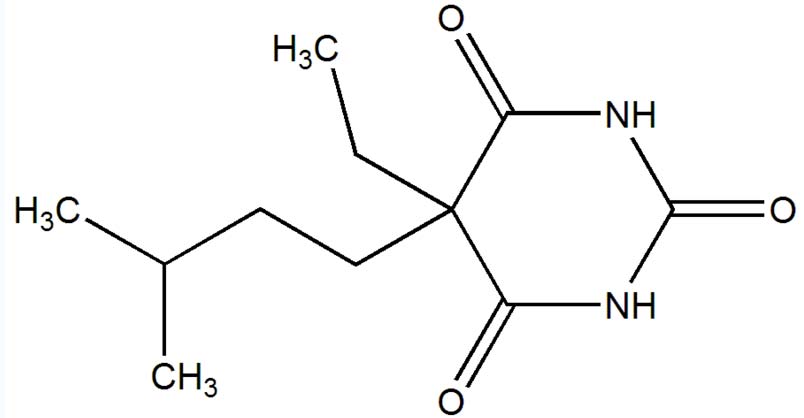
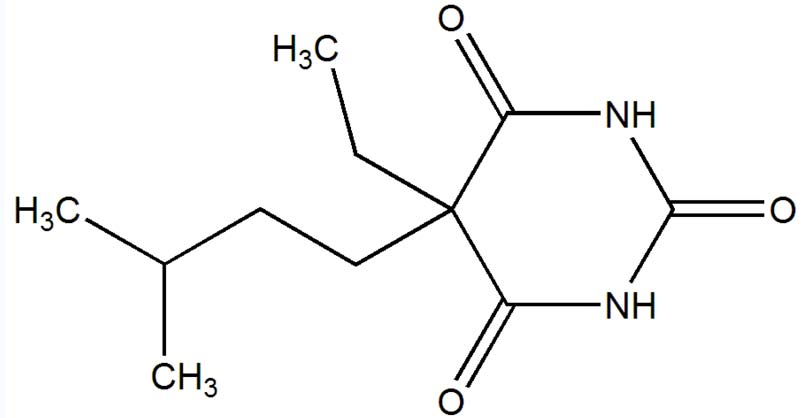
   Molekylstruktur  

Varunamn   Varunamn     

Angivna handelsnamn på läkemedel är enbart vägledande då formulering inklusive hjälpämnen kan variera mellan länder och tillverkare

Amytal Sodium Förenta Staterna

Faktorer som påverkar stabiliteten   injektion   Faktorer som påverkar stabiliteten : Amobarbital sodium        
Ingen uppgift

  Mentions Légales