Last update :
05/12/2025
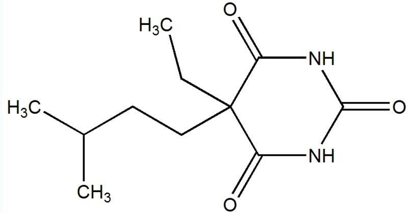
General anesthetic   Amobarbital sodium  
injection
Stability in solutions Stability of mixtures Factors which affect stability Compatibility Route of administration References pdf
   Chemical structure  

Tradename   Tradename     

Trade names are indicative and excipients composition can be different depending on the country and manufacturers

Amytal Sodium United States of America

Factors which affect stability   injection   Factors which affect stability : Amobarbital sodium        
No data

  Mentions Légales