Laatste update :
18/03/2026
Vaatverwijder   Alprostadil  
injecteerbaar geneesmiddel
Stabiliteit in oplossing Stabiliteit in mengsels Factoren die de stabiliteit beïnvloeden Verenigbaarheden Toedieningswijze Literatuur pdf
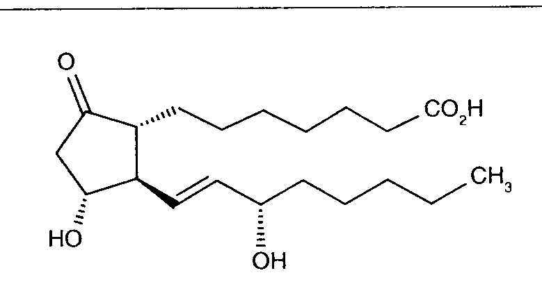
   Molecuulstructuur  

Merknamen in verschillende landen   Merknamen in verschillende landen     

Handelsnamen zijn slechts een indicatie; de samenstelling van hulpstoffen kan per land variëren afhankelijk van de fabrikant

Alfaprostin Egypte
Alistint Mexico, Peru
Alprostadil Argentinië, Australië, Canada, Chili, Duitsland, Ecuador, Maleisië, Peru, Roemenië, Saudi-Arabië, Spanje, Turkije, USA
Alprostapint Argentinië, Colombia, Ecuador, Hongarije, Oostenrijk, Peru
Alprostar Italië
Aplicav
Cardiobonisol Polen
Caverject België, Brazilië, Canada, Chili, Colombia, Denemarken, Frankrijk, Groot Britannië, Italië, Noorwegen, Oostenrijk, Polen, Portugal, Slovenië, Spanje, Turkije, USA, Verenigde Arabische Emiraten, Zweden, Zwitserland
Edex Frankrijk, Griekenland, Tunisie, USA
Liple Japan
Minprog Duitsland, Oostenrijk
Ostapint Mexico, Peru
Palux Japan
Pridax Duitsland, Oostenrijk, Roemenië, Spanje
Prolisina VR Argentinië
Prostandin Japan
Prostavasin Duitsland, Egypte, Hongarije, Iran, Italië, Luxemburg, Oostenrijk, Polen
Prostin VR België, Canada, Colombia, Denemarken, Finland, Griekenland, Groot Britannië, Hongarije, Iran, Italië, Kroatië, Luxemburg, Maleisië, Nederland, Noorwegen, Polen, Portugal, Saudi-Arabië, USA, Venezuela, Zwitserland
Prostine VR Frankrijk
Vasaprostan Roemenië

Factoren die de stabiliteit beïnvloeden   injecteerbaar geneesmiddel   Factoren die de stabiliteit beïnvloeden : Alprostadil        
geen gegevens

  Mentions Légales