Última actualização :
18/03/2026
Vasodilatador   Alprostadil  
injetável
Estabilidade em soluções simples Estabilidade em misturas Factores que afectam a sua estabilidade Compatibilidade Método de administração Bibliografía pdf
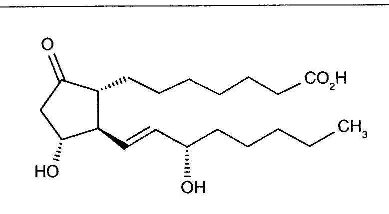
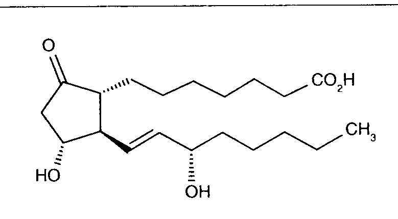
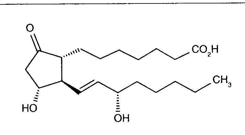
   estrutura química  

Nomes comerciais nos diversos países   Nomes comerciais nos diversos países     

OS NOMES COMERCIAIS SÃO INDICATIVOS E OS EXCIPIENTES DA FORMULAÇÃO PODEM SER DIFERENTES CONFORME O PAÍS E FABRICANTE.

Alfaprostin Egipto
Alistint México, Peru
Alprostadil Alemanha, Arábia Saudita, Argentina, Australia, Canadá, Chilli, Equator, Espanha, Estados Unidos de América, Malásia, Peru, Romènia, Turquia
Alprostapint Argentina, Austria, Colômbia, Equator, Hungria, Peru
Alprostar Itália
Aplicav
Cardiobonisol Polonia
Caverject Austria, Bélgica, Brasil, Canadá, Chilli, Colômbia, Dinamarca, Emirados Árabes Unidos, Eslovenia, Espanha, Estados Unidos de América, França, Gran-bretanha, Itália, Noruega, Polonia, Portugal, Suècia, Suicia, Turquia
Edex Estados Unidos de América, França, Grècia, Tunísia
Liple Japón
Minprog Alemanha, Austria
Ostapint México, Peru
Palux Japón
Pridax Alemanha, Austria, Espanha, Romènia
Prolisina VR Argentina
Prostandin Japón
Prostavasin Alemanha, Austria, Egipto, Hungria, Irã, Itália, Luxemburgo, Polonia
Prostin VR Arábia Saudita, Bélgica, Canadá, Colômbia, Croácia, Dinamarca, Estados Unidos de América, Finlandia, Gran-bretanha, Grècia, Hungria, Irã, Itália, Luxemburgo, Malásia, Noruega, Países Baixos, Polonia, Portugal, Suicia, Venezuela
Prostine VR França
Vasaprostan Romènia

Factores que afectam a sua estabilidade   injetável   Factores que afectam a sua estabilidade : Alprostadil        
Ausência de dados

  Mentions Légales