Siste oppdatering :
18/03/2026
Vasodilatator   Alprostadil  
Injeksjon
Oppløsningsstabilitet Stabilitet i blandinger Faktorer som påvirker stabiliteten Kompatibilitet Administrasjonsmåte Referanser pdf
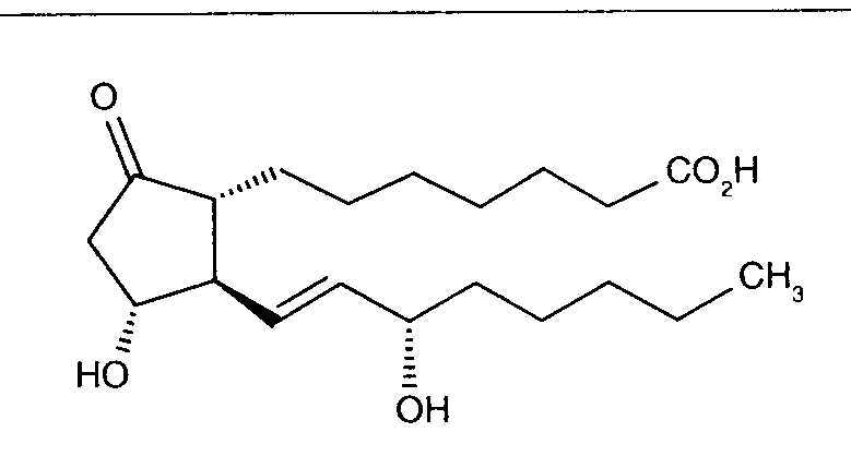
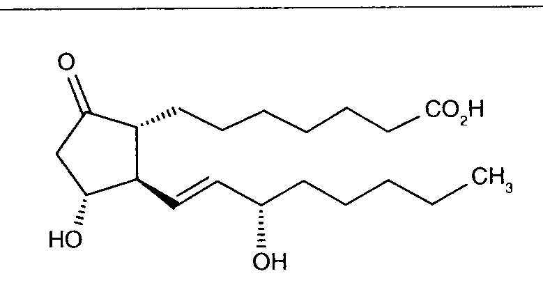
   Kjemisk struktur  

Handelsnavn   Handelsnavn     

Handelsnavn er veiledende og sammensetning av hjelpestoffer kan være forskjellig avhengig av land og produsent

Alfaprostin Egypt
Alistint Mexico, Peru
Alprostadil Argentina, Australia, Canada, Chile, Ecuador, Malaysia, Peru, Romania, Saudi-Arabia, Spania, Tyrkia, Tyskland, USA
Alprostapint Argentina, Colombia, Ecuador, Peru, Ungarn, Østerrike
Alprostar Italia
Aplicav
Cardiobonisol Polen
Caverject Belgia, Brasil, Canada, Chile, Colombia, Danmark, De forente arabiske emirater, Frankrike, Italia, Norge, Polen, Portugal, Slovenia, Spania, Storbritannia, Sveits, Sverige, Tyrkia, USA, Østerrike
Edex Frankrike, Hellas, Tunisia, USA
Liple Japan
Minprog Tyskland, Østerrike
Ostapint Mexico, Peru
Palux Japan
Pridax Romania, Spania, Tyskland, Østerrike
Prolisina VR Argentina
Prostandin Japan
Prostavasin Egypt, Iran, Italia, Luxembourg, Polen, Tyskland, Ungarn, Østerrike
Prostin VR Belgia, Canada, Colombia, Danmark, Finland, Hellas, Iran, Italia, Kroatia, Luxembourg, Malaysia, Nederland, Norge, Polen, Portugal, Saudi-Arabia, Storbritannia, Sveits, Ungarn, USA, Venezuela
Prostine VR Frankrike
Vasaprostan Romania

Faktorer som påvirker stabiliteten   Injeksjon   Faktorer som påvirker stabiliteten : Alprostadil        
Ingen opplysninger

  Mentions Légales