Viimeisin päivitys :
18/03/2026
Vasodilataattorit   Alprostadil  
Injektioneste
Stabilius liuoksessa Stabilius seoksissa Tekijät, jotka vaikuttavat stabiliuteen Yhteensopivuus Antotapa Viitteet pdf
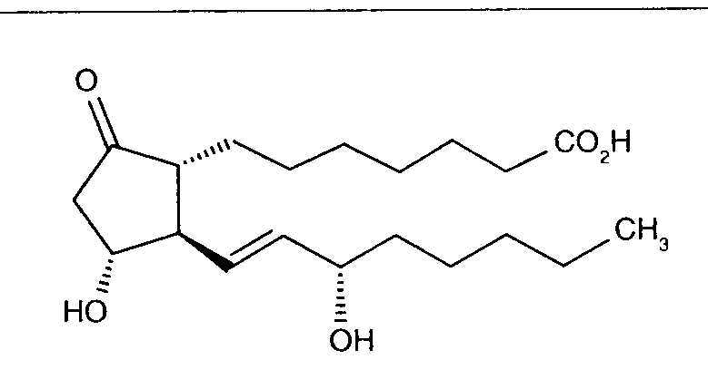
   Kemiallinen rakenne  

Kauppanimi   Kauppanimi     

Trade names are indicative and excipients composition can be different depending on the country and manufacturers

Alfaprostin Egypti
Alistint Marokko, Meksiko
Alprostadil Argentiina, Australia, Chile, Ecuador, Espanja, Kanada, Malesia, Marokko, Romania, Saksa, Saudi-Arabia, Turkki, Yhdysvallat
Alprostapint Argentiina, Ecuador, Itävalta, Kolumbia, Marokko, Unkari
Alprostar Italia
Aplicav
Cardiobonisol Puola
Caverject Belgia, Brasilia, Chile, Espanja, Iso-Britannia, Italia, Itävalta, Kanada, Kolumbia, Norja, Portugali, Puola, Ranska, Ruotsi, Slovenia, Sveitsi, Tanska, Turkki, Yhdistyneet arabiemiirikunnat, Yhdysvallat
Edex Kreikka, Ranska, Tunisia, Yhdysvallat
Liple Japani
Minprog Itävalta, Saksa
Ostapint Marokko, Meksiko
Palux Japani
Pridax Espanja, Itävalta, Romania, Saksa
Prolisina VR Argentiina
Prostandin Japani
Prostavasin Egypti, Iran, Italia, Itävalta, Luxemburg, Puola, Saksa, Unkari
Prostin VR Belgia, Hollanti, Iran, Iso-Britannia, Italia, Kanada, Kolumbia, Kreikka, Kroatia, Luxemburg, Malesia, Norja, Portugali, Puola, Saudi-Arabia, Suomi, Sveitsi, Tanska, Unkari, Venezuela, Yhdysvallat
Prostine VR Ranska
Vasaprostan Romania

Tekijät, jotka vaikuttavat stabiliuteen   Injektioneste   Tekijät, jotka vaikuttavat stabiliuteen : Alprostadil        
ei tietoa

  Mentions Légales