Τελευταία ενημέρωση :
18/03/2026
Θρομβολυτικό   Alprostadil  
Ενέσιμο
Σταθερότητα διαλυμάτων Σταθερότητα σε μίγματα Παράγοντας που επηρεάζει τη σταθερότητα Συμβατότητες Τρόπος χορήγησης Βιβλιογραφία pdf
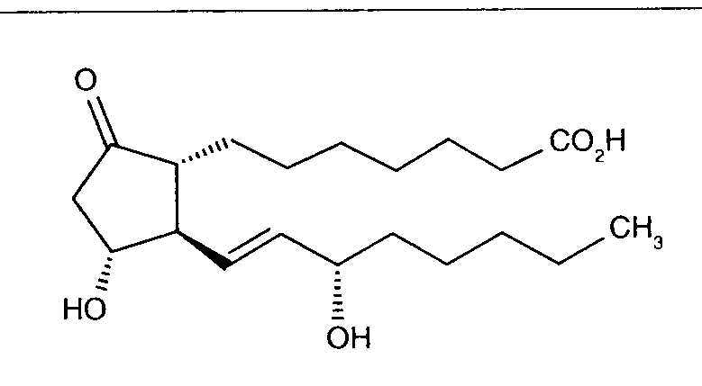
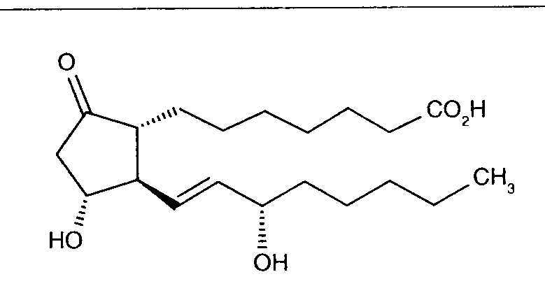
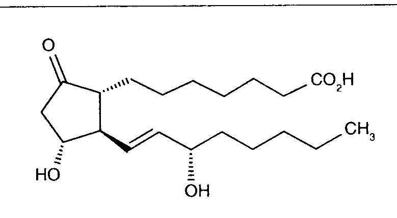
   χημική δομή  

Εμπορική ονομασία   Εμπορική ονομασία     

Οι εμπορικές ονομασίες είναι ενδεικτικές και η σύνθεση των εκδόχων μπορεί να διαφέρει ανάλογα με τη χώρα και τα εργαστήρια

Alfaprostin Αίγυπτος
Alistint Μεξικό, Περού
Alprostadil Αργεντινή, Αυστραλία, Γερμανία, Εκουαδόρ, Η.Π.Α., Ισπανία, Καναδάς, Μαλαισία, Περού, Ρουμανία, Σαουδική Αραβία, Τουρκία, Χιλή
Alprostapint Αργεντινή, Αυστρία, Εκουαδόρ, Κολομβία, Ουγγαρία, Περού
Alprostar Ιταλία
Aplicav
Cardiobonisol Πολωνία
Caverject Yhdistyneet arabiemiirikunnat, Αυστρία, Βέλγιο, Βραζιλία, Γαλλία, Δανία, Ελβετία, Η.Π.Α., Ισπανία, Ιταλία, Καναδάς, Κολομβία, Μεγάλη Βρετανία, Νορβηγία, Πολωνία, Πορτογαλία, Σλοβενία, Σουηδία, Τουρκία, Χιλή
Edex Γαλλία, Ελλάδα, Η.Π.Α., Τυνησία
Liple Ιαπωνία
Minprog Αυστρία, Γερμανία
Ostapint Μεξικό, Περού
Palux Ιαπωνία
Pridax Αυστρία, Γερμανία, Ισπανία, Ρουμανία
Prolisina VR Αργεντινή
Prostandin Ιαπωνία
Prostavasin Αίγυπτος, Αυστρία, Γερμανία, Ιράν, Ιταλία, Λουξεμβούργο, Ουγγαρία, Πολωνία
Prostin VR Βέλγιο, Βενεζουέλα, Δανία, Ελβετία, Ελλάδα, Η.Π.Α., Ιράν, Ιταλία, Καναδάς, Κολομβία, Κροατία, Λουξεμβούργο, Μαλαισία, Μεγάλη Βρετανία, Νορβηγία, Ολλανδία, Ουγγαρία, Πολωνία, Πορτογαλία, Σαουδική Αραβία, Φινλανδία
Prostine VR Γαλλία
Vasaprostan Ρουμανία

Παράγοντας που επηρεάζει τη σταθερότητα   Ενέσιμο   Παράγοντας που επηρεάζει τη σταθερότητα : Alprostadil        
Δεν υπάρχουν πληροφορίες

  Mentions Légales