Posledná aktualizácia :
18/03/2026
vazodilatans   Alprostadil  
Injekcia
Stabilita roztokov Stabilita v zmesiach Faktory ovplyvňujúce stabilitu Kompatibility spôsob podania Odkazy na literatúru PDF
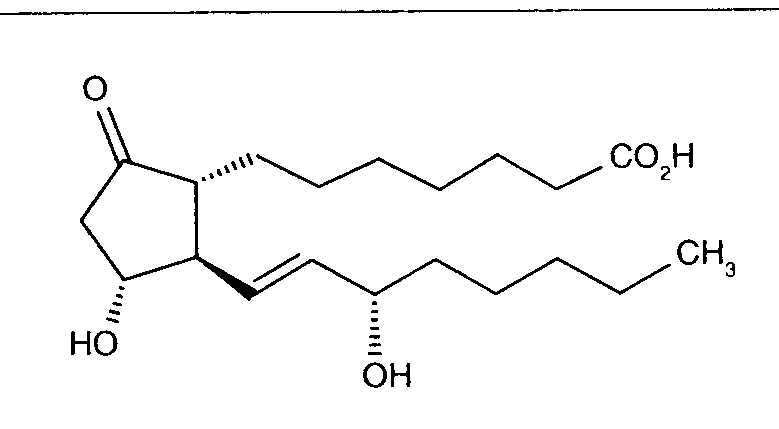
   Chemický vzorec  

Obchodný názov   Obchodný názov     

Obchodné názvy sú orientačné, a zloženie pomocných látok sa môže líšiť v závislosti od krajiny a výrobcu.

Alfaprostin Egypt
Alistint Mexiko, peru
Alprostadil Argentína, Austrália, Čile, Ekvádor, Kanada, Malajzia, Nemecko, peru, Rumunsko, Saudská Arábia, Španielsko, Spojené štáty Americké, Turecko
Alprostapint Argentína, Ekvádor, Kolumbia, Maďarsko, peru, Rakúsko
Alprostar Taliansko
Aplicav
Cardiobonisol Poľsko
Caverject Belgicko, Brazília, Čile, Dánsko, Francúzsko, Kanada, Kolumbia, Nórsko, Poľsko, Portugalsko, Rakúsko, Slovinsko, Španielsko, Spojené arabské emiráty, Spojené štáty Americké, Švajčiarsko, Švédsko, Taliansko, Turecko, Veľká Británia
Edex Francúzsko, Grécko, Spojené štáty Americké, Tunisko
Liple Japonsko
Minprog Nemecko, Rakúsko
Ostapint Mexiko, peru
Palux Japonsko
Pridax Nemecko, Rakúsko, Rumunsko, Španielsko
Prolisina VR Argentína
Prostandin Japonsko
Prostavasin Egypt, Irán, Luxembursko, Maďarsko, Nemecko, Poľsko, Rakúsko, Taliansko
Prostin VR Belgicko, Chorvátsko, Dánsko, Fínsko, Grécko, Holandsko, Irán, Kanada, Kolumbia, Luxembursko, Maďarsko, Malajzia, Nórsko, Poľsko, Portugalsko, Saudská Arábia, Spojené štáty Americké, Švajčiarsko, Taliansko, Veľká Británia, Venezuela
Prostine VR Francúzsko
Vasaprostan Rumunsko

Faktory ovplyvňujúce stabilitu   Injekcia   Faktory ovplyvňujúce stabilitu : Alprostadil        
žiadne údaje

  Mentions Légales