zadnja posodobitev :
27/01/2026
Antibiotik   Clindamycin phosphate  
Brizgalka
Stabilnost raztopine Stabilnost mešanice Faktorji, ki vplivajo na stabilnost Kompatibilnost način aplikacije Viri pdf
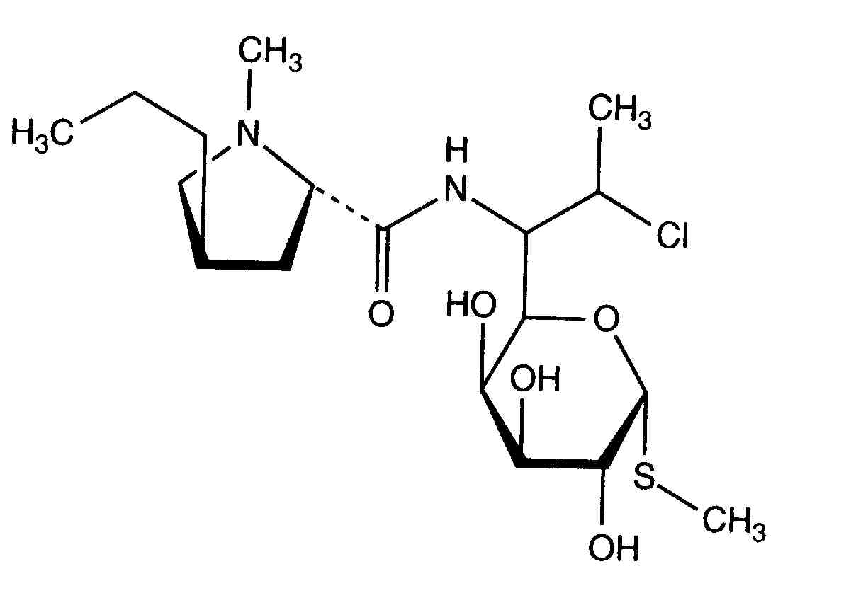
   Kemična formula  

Lastniško ime   Lastniško ime     

Sestava pomožnih snovi je med paralelami lahko različna

Biodaclin Mehika
Camyda Indija
Cinbiot Mehika
Cleocin Avstrija, Turčija, Združene države Amerike
Clinamsa Mehika
Clinbac Kolumbija, Peru
Clincina Portugalska
Clinda-Saar Nemčija
Clindacid Venezuela
Clindacin Malezija
Clindalaf Argentina
Clindamicina Argentina, Brazilija, Čile, Ekvador, Italija, Kolumbija, Mehika, Peru, Portugalska, Španija, Venezuela
Clindamycin Avstrija, Iran, Kanada, Nemčija, Norveška, Romunija, Savdska Arabija, Švedska, Združene države Amerike
Clindamycin-Hameln Nemčija
Clindamycine Belgija, Francija, Nizozemska, Tunizija
Clindanovag Argentina
Clindarix Brazilija
Clindasol Nemčija
Clindaval Venezuela
Clindazyn Mehika
Clindo Poljska
Clysvic Mehika
Daclin Čile
Dalacin Avstralija, Belgija, Čile, Danska, Egipt, Ekvador, Finska, Grčija, Indija, Iran, Irska, Islandija, Italija, Kanada, Kolumbija, Luksemburg, Madžarska, Malezija, Mehika, Nizozemska, Norveška, nova Zelandija, Poljska, Savdska Arabija, Švedska, Švica, Tunizija, Velika Britanija, Venezuela, Združeni arabski emirati
Dalacine Francija, Tunizija
Daladic Iran
Dalcinex Indija
Damclid Indija
Damicin Kolumbija, Mehika
Damicine Kolumbija
Dolarclin Kolumbija
Euroclin Ekvador, Kolumbija
Gynasafe Indija
Indamid Mehika
Klimicin Poljska
Klindan Turčija
Klindaver Turčija
Lanacine Avstrija
Lincocin Malezija
Lincosa Malezija
Meneklin Turčija
Sobelin Nemčija
Tidact Malezija
Stabilnost raztopine   Brizgalka   Stabilnost raztopine : Clindamycin phosphate     
Vsebnik Topilo Koncentracija Temperatura Shranjevanje Trajanje stabilnosti Viri
Steklo Voda za injekcije 15 mg/ml 22°C Zaščiteno pred svetlobo
91 Dan
80
 Stopnja dokaza C

Steklo Voda za injekcije 15 mg/ml 4°C Zaščiteno pred svetlobo
91 Dan
80
 Stopnja dokaza C

Steklo Natrijev klorid 0,9% 6 , 9 & 12 mg/ml -10°C Zaščiteno pred svetlobo
56 Dan
566

Steklo Natrijev klorid 0,9% 6 , 9 & 12 mg/ml 25°C Nedoločeno
16 Dan
566

Steklo Natrijev klorid 0,9% 6 , 9 & 12 mg/ml 4°C Zaščiteno pred svetlobo
32 Dan
566

Steklo Natrijev klorid 0,9% 9 mg/ml 24°C Svetloba
24 čas
421
Joker

Steklo Natrijev klorid 0,9% 9 mg/ml 25°C Svetloba
48 čas
418
 Stopnja dokaza D

Steklo Natrijev klorid 0,9% 9 mg/ml 25°C Nedoločeno
48 čas
565
 Stopnja dokaza D

Steklo Natrijev klorid 0,9% 9 & 12 mg/ml 25°C Svetloba
48 čas
432
 Stopnja dokaza D

Steklo Glukoza 5% 6 , 9 & 12 mg/ml -10°C Zaščiteno pred svetlobo
56 Dan
566

Steklo Glukoza 5% 6 , 9 & 12 mg/ml 25°C Nedoločeno
16 Dan
566

Steklo Glukoza 5% 6 , 9 & 12 mg/ml 4°C Zaščiteno pred svetlobo
32 Dan
566

Steklo Glukoza 5% 9 mg/ml 24°C Svetloba
24 čas
421
Joker

Steklo Glukoza 5% 9 mg/ml 25°C Svetloba
48 čas
418
 Stopnja dokaza D

Steklo Glukoza 5% 9 mg/ml 25°C Nedoločeno
48 čas
565
 Stopnja dokaza D

Steklo Glukoza 5% 9 & 12 mg/ml 25°C Svetloba
48 čas
432
 Stopnja dokaza D

Polivinil klorid Natrijev klorid 0,9% 6 , 9 & 12 mg/ml -10°C Zaščiteno pred svetlobo
56 Dan
566

Polivinil klorid Natrijev klorid 0,9% 6 , 9 & 12 mg/ml 25°C Nedoločeno
16 Dan
566

Polivinil klorid Natrijev klorid 0,9% 6 , 9 & 12 mg/ml 4°C Zaščiteno pred svetlobo
32 Dan
566

Polivinil klorid Natrijev klorid 0,9% 6 & 12 mg/ml -10°C Zaščiteno pred svetlobo
68 Dan
567
 Stopnja dokaza A

Polivinil klorid Natrijev klorid 0,9% 6 & 12 mg/ml 25°C Nedoločeno
22 Dan
567
 Stopnja dokaza A

Polivinil klorid Natrijev klorid 0,9% 6 & 12 mg/ml 5°C Zaščiteno pred svetlobo
54 Dan
567
 Stopnja dokaza A

Polivinil klorid Natrijev klorid 0,9% 9 mg/ml -20°C Zaščiteno pred svetlobo
28 Dan
565
 Stopnja dokaza D

Polivinil klorid Natrijev klorid 0,9% 9 mg/ml 24°C Svetloba
24 čas
421
Joker

Polivinil klorid Glukoza 5% 6 mg/ml -20°C Zaščiteno pred svetlobo
30 Dan
575
biološka analiza

Polivinil klorid Glukoza 5% 6 , 9 & 12 mg/ml -10°C Zaščiteno pred svetlobo
56 Dan
566

Polivinil klorid Glukoza 5% 6 , 9 & 12 mg/ml 25°C Nedoločeno
16 Dan
566

Polivinil klorid Glukoza 5% 6 , 9 & 12 mg/ml 4°C Zaščiteno pred svetlobo
32 Dan
566

Polivinil klorid Glukoza 5% 6 & 12 mg/ml -10°C Zaščiteno pred svetlobo
68 Dan
567
 Stopnja dokaza A

Polivinil klorid Glukoza 5% 6 & 12 mg/ml 25°C Nedoločeno
22 Dan
567
 Stopnja dokaza A

Polivinil klorid Glukoza 5% 6 & 12 mg/ml 5°C Zaščiteno pred svetlobo
54 Dan
567
 Stopnja dokaza A

Polivinil klorid Glukoza 5% 9 mg/ml -20°C Zaščiteno pred svetlobo
28 Dan
565
 Stopnja dokaza D

Polivinil klorid Glukoza 5% 9 mg/ml 24°C Svetloba
24 čas
421
Joker

Polietilen Natrijev klorid 0,9% 3 mg/ml 22°C Zaščiteno pred svetlobo
24 čas
1067
 Stopnja dokaza C

Polietilen Natrijev klorid 0,9% 3 mg/ml 4°C Zaščiteno pred svetlobo
24 čas
1067
 Stopnja dokaza C

Polietilen Glukoza 5% 3 mg/ml 22°C Zaščiteno pred svetlobo
24 čas
1067
 Stopnja dokaza C

Polietilen Glukoza 5% 3 mg/ml 4°C Zaščiteno pred svetlobo
24 čas
1067
 Stopnja dokaza C

Etilenvinilacetat Natrijev klorid 0,9% 6 & 12 mg/ml 23°C Zaščiteno pred svetlobo
7 Dan
1815
 Stopnja dokaza A+

Etilenvinilacetat Natrijev klorid 0,9% 6 & 12 mg/ml 4°C Zaščiteno pred svetlobo
30 Dan
1815
 Stopnja dokaza A+

Brizgalka polipropilen Natrijev klorid 0,9% 150 mg/ml 22°C-23°C Svetloba
48 čas
639
 Stopnja dokaza D

Brizgalka polipropilen Natrijev klorid 0,9% 60 mg/ml 25°C Svetloba
48 čas
644
 Stopnja dokaza B

Poliizoprenski elastomer Natrijev klorid 0,9% 2 & 12 mg/ml 25°C Nedoločeno
24 čas
604
Podatki stabilnosti proizvajalca

Poliizoprenski elastomer Natrijev klorid 0,9% 2 & 12 mg/ml 4°C Zaščiteno pred svetlobo
10 Dan
604
Podatki stabilnosti proizvajalca

Nedoločeno Natrijev klorid 0,9% 9,5 mg/ml 2-8°C Nedoločeno
49 Dan
4622
 Stopnja dokaza A+

Nedoločeno Natrijev klorid 0,9% 9,5 mg/ml 25°C Nedoločeno
24 čas
4622
 Stopnja dokaza A+

Nedoločeno Glukoza 5% 9,5 mg/ml 2-8°C Nedoločeno
47 Dan
4619
 Stopnja dokaza A+

Nedoločeno Glukoza 5% 9,5 mg/ml 25°C Nedoločeno
24 čas
4619
 Stopnja dokaza A+


  Mentions Légales