Pēdējā atjaunošana :
27/01/2026
Antibiotika   Clindamycin phosphate  
Injekcija
Šķīduma stabilitāte Maisījuma stabilitāte Stabilitāti ietekmējoši faktori Saderība Levadīšanas veids Literatūras saraksts pdf
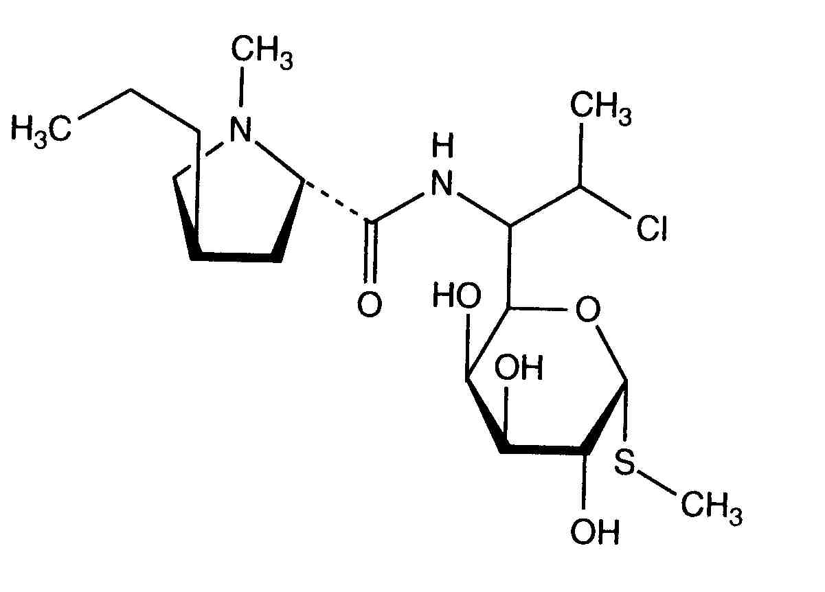
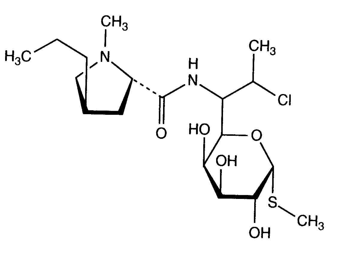
   Ķīmiskā uzbūve   

Oriģinālais nosaukums   Oriģinālais nosaukums     

Tirdzniecības nosaukumi ir apzīmējoši un palīgvielas var atšķirties dažādām valstīm un laboratorijām

Biodaclin Meksika
Camyda Indija
Cinbiot Meksika
Cleocin Amerikas Savienotās Valstis, Austrija, Turcija
Clinamsa Meksika
Clinbac Kolumbija, Peru
Clincina Portugāle
Clinda-Saar Vācija
Clindacid Venecuēla
Clindacin Malaizija
Clindalaf Argentīna
Clindamicina Argentīna, Brazīlija, Čīle, Ekvadora, Itālija, Kolumbija, Meksika, Peru, Portugāle, Spānija, Venecuēla
Clindamycin Amerikas Savienotās Valstis, Austrija, Irāna, Kanāda, Norvēģija, Rumānija, Saūda Arābija, Vācija, Zviedrija
Clindamycin-Hameln Vācija
Clindamycine Beļģija, Francija, Holande, Tunisija
Clindanovag Argentīna
Clindarix Brazīlija
Clindasol Vācija
Clindaval Venecuēla
Clindazyn Meksika
Clindo Polija
Clysvic Meksika
Daclin Čīle
Dalacin Apvienotie Arābu Emirāti, Austrālija, Beļģija, Čīle, Dānija, Ēģipte, Ekvadora, Grieķija, Holande, Indija, Irāna, Īrija, Islande, Itālija, Jaunzēlande, Kanāda, Kolumbija, Lielbritānija, Luksemburga, Malaizija, Meksika, Norvēģija, Polija, Saūda Arābija, Somija, Šveice, Tunisija, Ungārija, Venecuēla, Zviedrija
Dalacine Francija, Tunisija
Daladic Irāna
Dalcinex Indija
Damclid Indija
Damicin Kolumbija, Meksika
Damicine Kolumbija
Dolarclin Kolumbija
Euroclin Ekvadora, Kolumbija
Gynasafe Indija
Indamid Meksika
Klimicin Polija
Klindan Turcija
Klindaver Turcija
Lanacine Austrija
Lincocin Malaizija
Lincosa Malaizija
Meneklin Turcija
Sobelin Vācija
Tidact Malaizija
Šķīduma stabilitāte   Injekcija   Šķīduma stabilitāte : Clindamycin phosphate     
Iepakojums Šķīdinātājs Koncentrācija Temperatūra Glabāšana Stabilitātes ilgums Literatūras saraksts
Stikls Ūdens injekcijām 15 mg/ml 22°C Aizsargāt no gaismas
91 Diena
80
Pierādījumu līmenis C

Stikls Ūdens injekcijām 15 mg/ml 4°C Aizsargāt no gaismas
91 Diena
80
Pierādījumu līmenis C

Stikls Nātrija hlorīds 0.9% 6 , 9 & 12 mg/ml -10°C Aizsargāt no gaismas
56 Diena
566

Stikls Nātrija hlorīds 0.9% 6 , 9 & 12 mg/ml 25°C Nav specifisks
16 Diena
566

Stikls Nātrija hlorīds 0.9% 6 , 9 & 12 mg/ml 4°C Aizsargāt no gaismas
32 Diena
566

Stikls Nātrija hlorīds 0.9% 9 mg/ml 24°C Gaisma
24 Stunda
421
\

Stikls Nātrija hlorīds 0.9% 9 mg/ml 25°C Gaisma
48 Stunda
418
Pierādījumu līmenis D

Stikls Nātrija hlorīds 0.9% 9 mg/ml 25°C Nav specifisks
48 Stunda
565
Pierādījumu līmenis D

Stikls Nātrija hlorīds 0.9% 9 & 12 mg/ml 25°C Gaisma
48 Stunda
432
Pierādījumu līmenis D

Stikls 5% glikoze 6 , 9 & 12 mg/ml -10°C Aizsargāt no gaismas
56 Diena
566

Stikls 5% glikoze 6 , 9 & 12 mg/ml 25°C Nav specifisks
16 Diena
566

Stikls 5% glikoze 6 , 9 & 12 mg/ml 4°C Aizsargāt no gaismas
32 Diena
566

Stikls 5% glikoze 9 mg/ml 24°C Gaisma
24 Stunda
421
\

Stikls 5% glikoze 9 mg/ml 25°C Gaisma
48 Stunda
418
Pierādījumu līmenis D

Stikls 5% glikoze 9 mg/ml 25°C Nav specifisks
48 Stunda
565
Pierādījumu līmenis D

Stikls 5% glikoze 9 & 12 mg/ml 25°C Gaisma
48 Stunda
432
Pierādījumu līmenis D

Polivinilhlorīds Nātrija hlorīds 0.9% 6 , 9 & 12 mg/ml -10°C Aizsargāt no gaismas
56 Diena
566

Polivinilhlorīds Nātrija hlorīds 0.9% 6 , 9 & 12 mg/ml 25°C Nav specifisks
16 Diena
566

Polivinilhlorīds Nātrija hlorīds 0.9% 6 , 9 & 12 mg/ml 4°C Aizsargāt no gaismas
32 Diena
566

Polivinilhlorīds Nātrija hlorīds 0.9% 6 & 12 mg/ml -10°C Aizsargāt no gaismas
68 Diena
567
Pierādījumu līmenis A

Polivinilhlorīds Nātrija hlorīds 0.9% 6 & 12 mg/ml 25°C Nav specifisks
22 Diena
567
Pierādījumu līmenis A

Polivinilhlorīds Nātrija hlorīds 0.9% 6 & 12 mg/ml 5°C Aizsargāt no gaismas
54 Diena
567
Pierādījumu līmenis A

Polivinilhlorīds Nātrija hlorīds 0.9% 9 mg/ml -20°C Aizsargāt no gaismas
28 Diena
565
Pierādījumu līmenis D

Polivinilhlorīds Nātrija hlorīds 0.9% 9 mg/ml 24°C Gaisma
24 Stunda
421
\

Polivinilhlorīds 5% glikoze 6 mg/ml -20°C Aizsargāt no gaismas
30 Diena
575
Bioloģiskā metode

Polivinilhlorīds 5% glikoze 6 , 9 & 12 mg/ml -10°C Aizsargāt no gaismas
56 Diena
566

Polivinilhlorīds 5% glikoze 6 , 9 & 12 mg/ml 25°C Nav specifisks
16 Diena
566

Polivinilhlorīds 5% glikoze 6 , 9 & 12 mg/ml 4°C Aizsargāt no gaismas
32 Diena
566

Polivinilhlorīds 5% glikoze 6 & 12 mg/ml -10°C Aizsargāt no gaismas
68 Diena
567
Pierādījumu līmenis A

Polivinilhlorīds 5% glikoze 6 & 12 mg/ml 25°C Nav specifisks
22 Diena
567
Pierādījumu līmenis A

Polivinilhlorīds 5% glikoze 6 & 12 mg/ml 5°C Aizsargāt no gaismas
54 Diena
567
Pierādījumu līmenis A

Polivinilhlorīds 5% glikoze 9 mg/ml -20°C Aizsargāt no gaismas
28 Diena
565
Pierādījumu līmenis D

Polivinilhlorīds 5% glikoze 9 mg/ml 24°C Gaisma
24 Stunda
421
\

Polietilēns Nātrija hlorīds 0.9% 3 mg/ml 22°C Aizsargāt no gaismas
24 Stunda
1067
Pierādījumu līmenis C

Polietilēns Nātrija hlorīds 0.9% 3 mg/ml 4°C Aizsargāt no gaismas
24 Stunda
1067
Pierādījumu līmenis C

Polietilēns 5% glikoze 3 mg/ml 22°C Aizsargāt no gaismas
24 Stunda
1067
Pierādījumu līmenis C

Polietilēns 5% glikoze 3 mg/ml 4°C Aizsargāt no gaismas
24 Stunda
1067
Pierādījumu līmenis C

Etilvinilacetāts Nātrija hlorīds 0.9% 6 & 12 mg/ml 23°C Aizsargāt no gaismas
7 Diena
1815
Pierādījumu līmenis A+

Etilvinilacetāts Nātrija hlorīds 0.9% 6 & 12 mg/ml 4°C Aizsargāt no gaismas
30 Diena
1815
Pierādījumu līmenis A+

Šļirce polipropilēna Nātrija hlorīds 0.9% 150 mg/ml 22°C-23°C Gaisma
48 Stunda
639
Pierādījumu līmenis D

Šļirce polipropilēna Nātrija hlorīds 0.9% 60 mg/ml 25°C Gaisma
48 Stunda
644
Pierādījumu līmenis B

Poliizoprēna elastomērs Nātrija hlorīds 0.9% 2 & 12 mg/ml 25°C Nav specifisks
24 Stunda
604
Ražotāja stabilitātes dati

Poliizoprēna elastomērs Nātrija hlorīds 0.9% 2 & 12 mg/ml 4°C Aizsargāt no gaismas
10 Diena
604
Ražotāja stabilitātes dati

Nespecifisks Nātrija hlorīds 0.9% 9,5 mg/ml 2-8°C Nav specifisks
49 Diena
4622
Pierādījumu līmenis A+

Nespecifisks Nātrija hlorīds 0.9% 9,5 mg/ml 25°C Nav specifisks
24 Stunda
4622
Pierādījumu līmenis A+

Nespecifisks 5% glikoze 9,5 mg/ml 2-8°C Nav specifisks
47 Diena
4619
Pierādījumu līmenis A+

Nespecifisks 5% glikoze 9,5 mg/ml 25°C Nav specifisks
24 Stunda
4619
Pierādījumu līmenis A+


  Mentions Légales