Posledná aktualizácia :
27/01/2026
antibiotikum   Clindamycin phosphate  
Injekcia
Stabilita roztokov Stabilita v zmesiach Faktory ovplyvňujúce stabilitu Kompatibility spôsob podania Odkazy na literatúru PDF
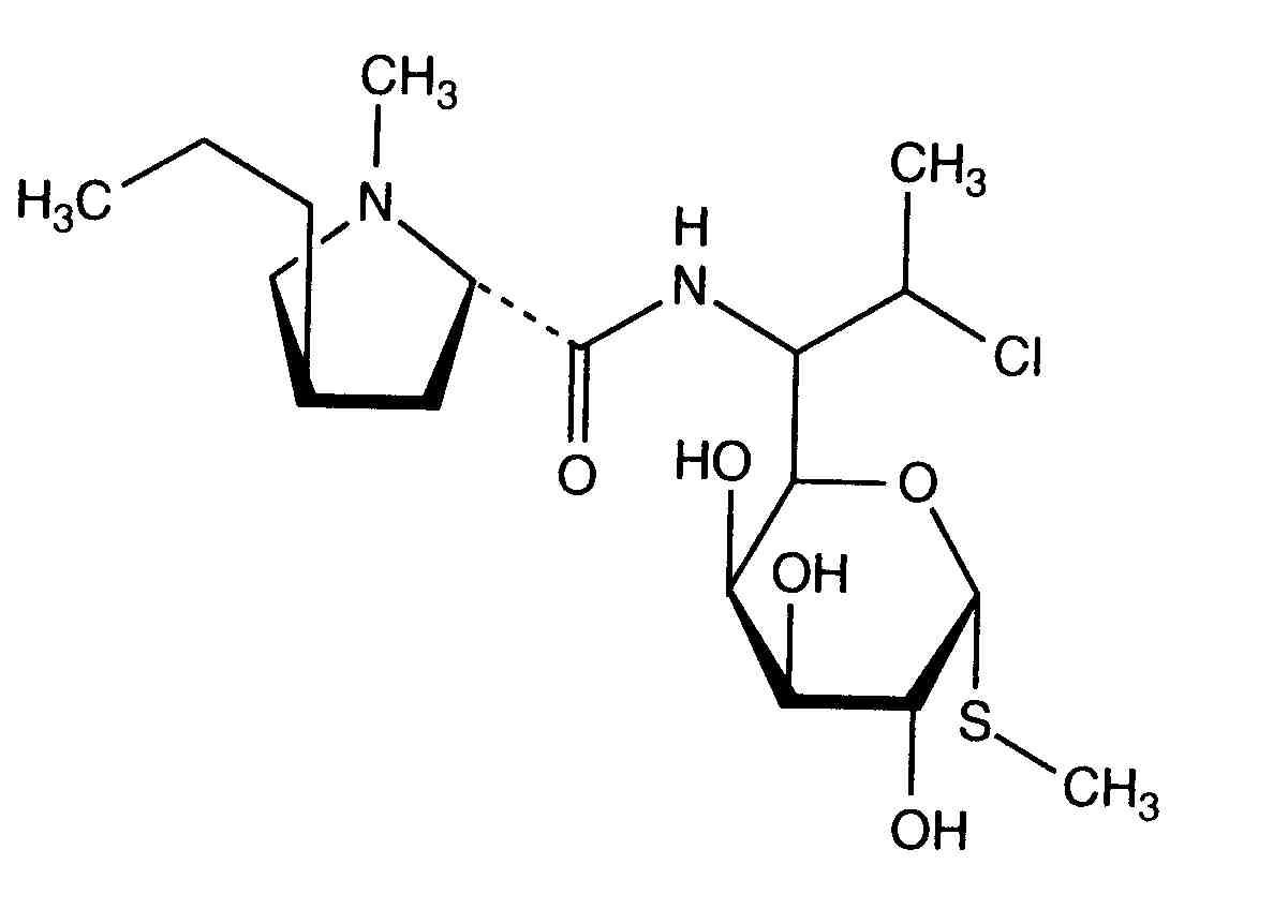
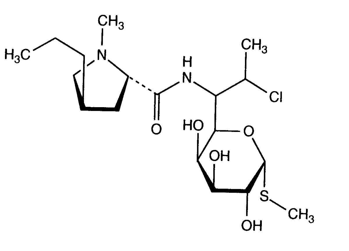
   Chemický vzorec  

Obchodný názov   Obchodný názov     

Obchodné názvy sú orientačné, a zloženie pomocných látok sa môže líšiť v závislosti od krajiny a výrobcu.

Biodaclin Mexiko
Camyda India
Cinbiot Mexiko
Cleocin Rakúsko, Spojené štáty Americké, Turecko
Clinamsa Mexiko
Clinbac Kolumbia, peru
Clincina Portugalsko
Clinda-Saar Nemecko
Clindacid Venezuela
Clindacin Malajzia
Clindalaf Argentína
Clindamicina Argentína, Brazília, Čile, Ekvádor, Kolumbia, Mexiko, peru, Portugalsko, Španielsko, Taliansko, Venezuela
Clindamycin Irán, Kanada, Nemecko, Nórsko, Rakúsko, Rumunsko, Saudská Arábia, Spojené štáty Americké, Švédsko
Clindamycin-Hameln Nemecko
Clindamycine Belgicko, Francúzsko, Holandsko, Tunisko
Clindanovag Argentína
Clindarix Brazília
Clindasol Nemecko
Clindaval Venezuela
Clindazyn Mexiko
Clindo Poľsko
Clysvic Mexiko
Daclin Čile
Dalacin Austrália, Belgicko, Čile, Dánsko, Egypt, Ekvádor, Fínsko, Grécko, Holandsko, India, Irán, Írsko, Island, Kanada, Kolumbia, Luxembursko, Maďarsko, Malajzia, Mexiko, Nórsko, nový Zéland, Poľsko, Saudská Arábia, Spojené arabské emiráty, Švajčiarsko, Švédsko, Taliansko, Tunisko, Veľká Británia, Venezuela
Dalacine Francúzsko, Tunisko
Daladic Irán
Dalcinex India
Damclid India
Damicin Kolumbia, Mexiko
Damicine Kolumbia
Dolarclin Kolumbia
Euroclin Ekvádor, Kolumbia
Gynasafe India
Indamid Mexiko
Klimicin Poľsko
Klindan Turecko
Klindaver Turecko
Lanacine Rakúsko
Lincocin Malajzia
Lincosa Malajzia
Meneklin Turecko
Sobelin Nemecko
Tidact Malajzia
Stabilita roztokov   Injekcia   Stabilita roztokov : Clindamycin phosphate     
obal rozpúšťadlo koncentrácia teplota uchovávanie Trvanie stability odkazy na lieteratúru
Sklo voda na injekciu 15 mg/ml 22°C Chránené pred svetlom
91 dní
80
Úroveň dôkazov C

Sklo voda na injekciu 15 mg/ml 4°C Chránené pred svetlom
91 dní
80
Úroveň dôkazov C

Sklo 0,9% chlorid sodný 6 , 9 & 12 mg/ml -10°C Chránené pred svetlom
56 dní
566

Sklo 0,9% chlorid sodný 6 , 9 & 12 mg/ml 25°C nešpecifikované
16 dní
566

Sklo 0,9% chlorid sodný 6 , 9 & 12 mg/ml 4°C Chránené pred svetlom
32 dní
566

Sklo 0,9% chlorid sodný 9 mg/ml 24°C Za svetla
24 hodín
421
Žolík (rôzne)

Sklo 0,9% chlorid sodný 9 mg/ml 25°C Za svetla
48 hodín
418
Úroveň dôkazov D

Sklo 0,9% chlorid sodný 9 mg/ml 25°C nešpecifikované
48 hodín
565
Úroveň dôkazov D

Sklo 0,9% chlorid sodný 9 & 12 mg/ml 25°C Za svetla
48 hodín
432
Úroveň dôkazov D

Sklo 5% glukóza 6 , 9 & 12 mg/ml -10°C Chránené pred svetlom
56 dní
566

Sklo 5% glukóza 6 , 9 & 12 mg/ml 25°C nešpecifikované
16 dní
566

Sklo 5% glukóza 6 , 9 & 12 mg/ml 4°C Chránené pred svetlom
32 dní
566

Sklo 5% glukóza 9 mg/ml 24°C Za svetla
24 hodín
421
Žolík (rôzne)

Sklo 5% glukóza 9 mg/ml 25°C Za svetla
48 hodín
418
Úroveň dôkazov D

Sklo 5% glukóza 9 mg/ml 25°C nešpecifikované
48 hodín
565
Úroveň dôkazov D

Sklo 5% glukóza 9 & 12 mg/ml 25°C Za svetla
48 hodín
432
Úroveň dôkazov D

polyvinylchlorid (PVC) 0,9% chlorid sodný 6 , 9 & 12 mg/ml -10°C Chránené pred svetlom
56 dní
566

polyvinylchlorid (PVC) 0,9% chlorid sodný 6 , 9 & 12 mg/ml 25°C nešpecifikované
16 dní
566

polyvinylchlorid (PVC) 0,9% chlorid sodný 6 , 9 & 12 mg/ml 4°C Chránené pred svetlom
32 dní
566

polyvinylchlorid (PVC) 0,9% chlorid sodný 6 & 12 mg/ml -10°C Chránené pred svetlom
68 dní
567
Úroveň dôkazov A

polyvinylchlorid (PVC) 0,9% chlorid sodný 6 & 12 mg/ml 25°C nešpecifikované
22 dní
567
Úroveň dôkazov A

polyvinylchlorid (PVC) 0,9% chlorid sodný 6 & 12 mg/ml 5°C Chránené pred svetlom
54 dní
567
Úroveň dôkazov A

polyvinylchlorid (PVC) 0,9% chlorid sodný 9 mg/ml -20°C Chránené pred svetlom
28 dní
565
Úroveň dôkazov D

polyvinylchlorid (PVC) 0,9% chlorid sodný 9 mg/ml 24°C Za svetla
24 hodín
421
Žolík (rôzne)

polyvinylchlorid (PVC) 5% glukóza 6 mg/ml -20°C Chránené pred svetlom
30 dní
575
biologická analýza

polyvinylchlorid (PVC) 5% glukóza 6 , 9 & 12 mg/ml -10°C Chránené pred svetlom
56 dní
566

polyvinylchlorid (PVC) 5% glukóza 6 , 9 & 12 mg/ml 25°C nešpecifikované
16 dní
566

polyvinylchlorid (PVC) 5% glukóza 6 , 9 & 12 mg/ml 4°C Chránené pred svetlom
32 dní
566

polyvinylchlorid (PVC) 5% glukóza 6 & 12 mg/ml -10°C Chránené pred svetlom
68 dní
567
Úroveň dôkazov A

polyvinylchlorid (PVC) 5% glukóza 6 & 12 mg/ml 25°C nešpecifikované
22 dní
567
Úroveň dôkazov A

polyvinylchlorid (PVC) 5% glukóza 6 & 12 mg/ml 5°C Chránené pred svetlom
54 dní
567
Úroveň dôkazov A

polyvinylchlorid (PVC) 5% glukóza 9 mg/ml -20°C Chránené pred svetlom
28 dní
565
Úroveň dôkazov D

polyvinylchlorid (PVC) 5% glukóza 9 mg/ml 24°C Za svetla
24 hodín
421
Žolík (rôzne)

polyetylén 0,9% chlorid sodný 3 mg/ml 22°C Chránené pred svetlom
24 hodín
1067
Úroveň dôkazov C

polyetylén 0,9% chlorid sodný 3 mg/ml 4°C Chránené pred svetlom
24 hodín
1067
Úroveň dôkazov C

polyetylén 5% glukóza 3 mg/ml 22°C Chránené pred svetlom
24 hodín
1067
Úroveň dôkazov C

polyetylén 5% glukóza 3 mg/ml 4°C Chránené pred svetlom
24 hodín
1067
Úroveň dôkazov C

etylénvinylacetát 0,9% chlorid sodný 6 & 12 mg/ml 23°C Chránené pred svetlom
7 dní
1815
Úroveň dôkazov A+

etylénvinylacetát 0,9% chlorid sodný 6 & 12 mg/ml 4°C Chránené pred svetlom
30 dní
1815
Úroveň dôkazov A+

Injekčná striekačka polypropylén 0,9% chlorid sodný 150 mg/ml 22°C-23°C Za svetla
48 hodín
639
Úroveň dôkazov D

Injekčná striekačka polypropylén 0,9% chlorid sodný 60 mg/ml 25°C Za svetla
48 hodín
644
Úroveň dôkazov B

Polyizoprénový elastomer 0,9% chlorid sodný 2 & 12 mg/ml 25°C nešpecifikované
24 hodín
604
Údaje o stabilite od výrobcu

Polyizoprénový elastomer 0,9% chlorid sodný 2 & 12 mg/ml 4°C Chránené pred svetlom
10 dní
604
Údaje o stabilite od výrobcu

nešpecifikované 0,9% chlorid sodný 9,5 mg/ml 2-8°C nešpecifikované
49 dní
4622
Úroveň dôkazov A+

nešpecifikované 0,9% chlorid sodný 9,5 mg/ml 25°C nešpecifikované
24 hodín
4622
Úroveň dôkazov A+

nešpecifikované 5% glukóza 9,5 mg/ml 2-8°C nešpecifikované
47 dní
4619
Úroveň dôkazov A+

nešpecifikované 5% glukóza 9,5 mg/ml 25°C nešpecifikované
24 hodín
4619
Úroveň dôkazov A+


  Mentions Légales