Ultimele actualizari :
27/01/2026
Antibiotic   Clindamycin phosphate  
Injectabil
Stabilitatea in solutie Stabilitatea in amestec Factorii care influenteaza stabilitatea Compatibilitate Microunde Bibliografie pdf
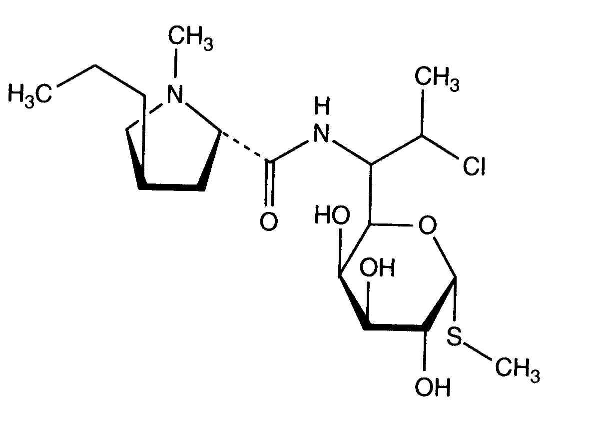
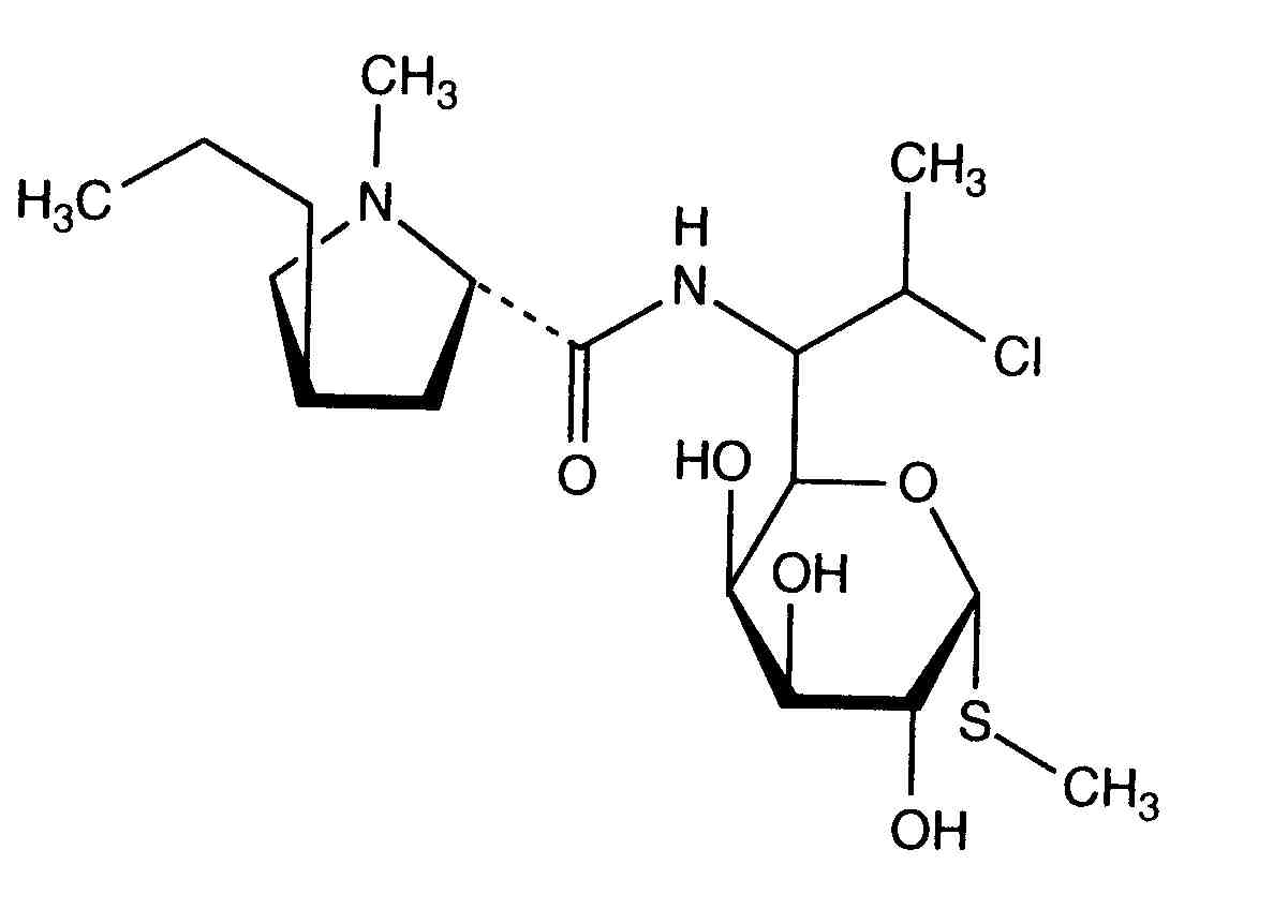
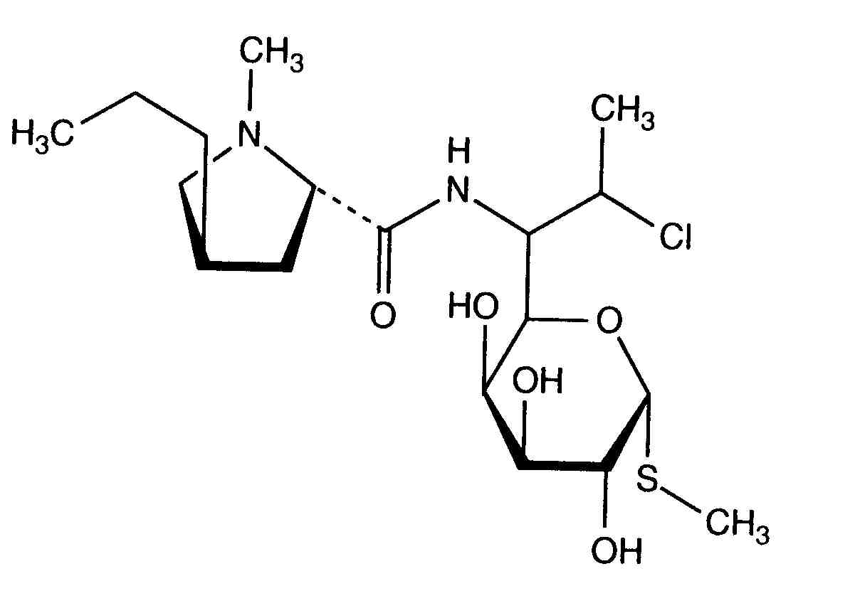
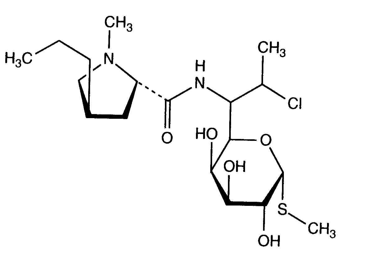
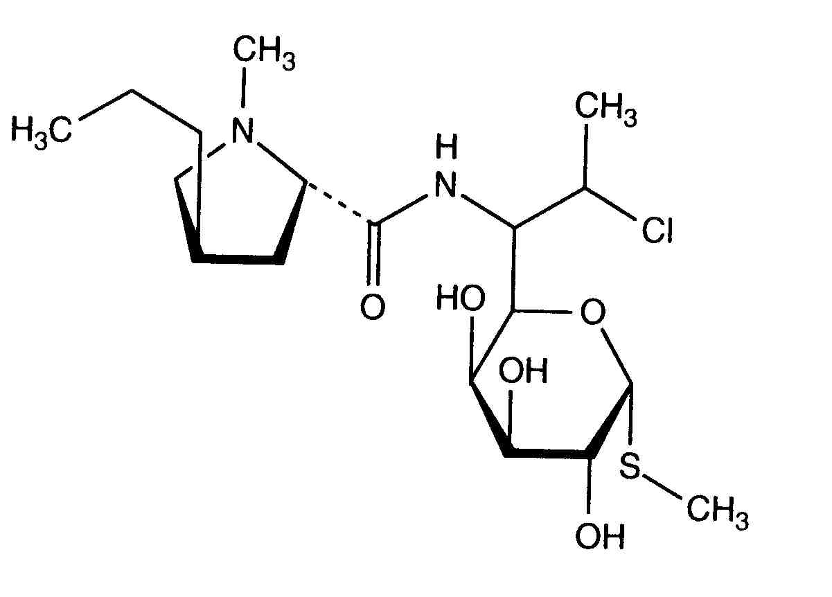
   Formula chimica  

Denumirea comerciala   Denumirea comerciala     

Trade names are indicative and excipients composition can be different depending on the country and manufacturers

Biodaclin Mexic
Camyda India
Cinbiot Mexic
Cleocin Austria, SUA, Turcia
Clinamsa Mexic
Clinbac Columbia, Peru
Clincina Portugalia
Clinda-Saar Germania
Clindacid Venezuela
Clindacin Malaezia
Clindalaf Argentina
Clindamicina Argentina, Brazilia, Chilli, Columbia, Ecuador, Italia, Mexic, Peru, Portugalia, Spania, Venezuela
Clindamycin Arabia Saudita, Austria, Canada, Germania, Iran, Norvegia, Romania, SUA, Suedia
Clindamycin-Hameln Germania
Clindamycine Belgia, Franta, Olanda, Tunisia
Clindanovag Argentina
Clindarix Brazilia
Clindasol Germania
Clindaval Venezuela
Clindazyn Mexic
Clindo Polonia
Clysvic Mexic
Daclin Chilli
Dalacin Arabia Saudita, Australia, Belgia, Canada, Chilli, Columbia, Danemarca, Ecuador, Egipt, Elvetia, Emiratele Arabe Unite, Finlanda, Grecia, India, Iran, Irlanda, Islanda, Italia, Luxemburg, Malaezia, Marea Britanie, Mexic, Norvegia, noua Zeelandă, Olanda, Polonia, Suedia, Tunisia, Ungaria, Venezuela
Dalacine Franta, Tunisia
Daladic Iran
Dalcinex India
Damclid India
Damicin Columbia, Mexic
Damicine Columbia
Dolarclin Columbia
Euroclin Columbia, Ecuador
Gynasafe India
Indamid Mexic
Klimicin Polonia
Klindan Turcia
Klindaver Turcia
Lanacine Austria
Lincocin Malaezia
Lincosa Malaezia
Meneklin Turcia
Sobelin Germania
Tidact Malaezia
Stabilitatea in solutie   Injectabil   Stabilitatea in solutie : Clindamycin phosphate     
Continut Solvent Concentratie Temperatura Conservare Durata stabilității Bibiografie
sticla apa pentru preparate injectabile 15 mg/ml 22°C Ferit de lumina
91 Ziua
80
Nivel de evidență C

sticla apa pentru preparate injectabile 15 mg/ml 4°C Ferit de lumina
91 Ziua
80
Nivel de evidență C

sticla clorura de sodiu 0,9% 6 , 9 & 12 mg/ml -10°C Ferit de lumina
56 Ziua
566

sticla clorura de sodiu 0,9% 6 , 9 & 12 mg/ml 25°C Neprecizat
16 Ziua
566

sticla clorura de sodiu 0,9% 6 , 9 & 12 mg/ml 4°C Ferit de lumina
32 Ziua
566

sticla clorura de sodiu 0,9% 9 mg/ml 24°C Lumina
24 Ora
421
Joker

sticla clorura de sodiu 0,9% 9 mg/ml 25°C Lumina
48 Ora
418
Nivel de evidență D

sticla clorura de sodiu 0,9% 9 mg/ml 25°C Neprecizat
48 Ora
565
Nivel de evidență D

sticla clorura de sodiu 0,9% 9 & 12 mg/ml 25°C Lumina
48 Ora
432
Nivel de evidență D

sticla Glucoza 5% 6 , 9 & 12 mg/ml -10°C Ferit de lumina
56 Ziua
566

sticla Glucoza 5% 6 , 9 & 12 mg/ml 25°C Neprecizat
16 Ziua
566

sticla Glucoza 5% 6 , 9 & 12 mg/ml 4°C Ferit de lumina
32 Ziua
566

sticla Glucoza 5% 9 mg/ml 24°C Lumina
24 Ora
421
Joker

sticla Glucoza 5% 9 mg/ml 25°C Lumina
48 Ora
418
Nivel de evidență D

sticla Glucoza 5% 9 mg/ml 25°C Neprecizat
48 Ora
565
Nivel de evidență D

sticla Glucoza 5% 9 & 12 mg/ml 25°C Lumina
48 Ora
432
Nivel de evidență D

clorura de polivinil clorura de sodiu 0,9% 6 , 9 & 12 mg/ml -10°C Ferit de lumina
56 Ziua
566

clorura de polivinil clorura de sodiu 0,9% 6 , 9 & 12 mg/ml 25°C Neprecizat
16 Ziua
566

clorura de polivinil clorura de sodiu 0,9% 6 , 9 & 12 mg/ml 4°C Ferit de lumina
32 Ziua
566

clorura de polivinil clorura de sodiu 0,9% 6 & 12 mg/ml -10°C Ferit de lumina
68 Ziua
567
Nivel de evidență A

clorura de polivinil clorura de sodiu 0,9% 6 & 12 mg/ml 25°C Neprecizat
22 Ziua
567
Nivel de evidență A

clorura de polivinil clorura de sodiu 0,9% 6 & 12 mg/ml 5°C Ferit de lumina
54 Ziua
567
Nivel de evidență A

clorura de polivinil clorura de sodiu 0,9% 9 mg/ml -20°C Ferit de lumina
28 Ziua
565
Nivel de evidență D

clorura de polivinil clorura de sodiu 0,9% 9 mg/ml 24°C Lumina
24 Ora
421
Joker

clorura de polivinil Glucoza 5% 6 mg/ml -20°C Ferit de lumina
30 Ziua
575
Analiza biologică

clorura de polivinil Glucoza 5% 6 , 9 & 12 mg/ml -10°C Ferit de lumina
56 Ziua
566

clorura de polivinil Glucoza 5% 6 , 9 & 12 mg/ml 25°C Neprecizat
16 Ziua
566

clorura de polivinil Glucoza 5% 6 , 9 & 12 mg/ml 4°C Ferit de lumina
32 Ziua
566

clorura de polivinil Glucoza 5% 6 & 12 mg/ml -10°C Ferit de lumina
68 Ziua
567
Nivel de evidență A

clorura de polivinil Glucoza 5% 6 & 12 mg/ml 25°C Neprecizat
22 Ziua
567
Nivel de evidență A

clorura de polivinil Glucoza 5% 6 & 12 mg/ml 5°C Ferit de lumina
54 Ziua
567
Nivel de evidență A

clorura de polivinil Glucoza 5% 9 mg/ml -20°C Ferit de lumina
28 Ziua
565
Nivel de evidență D

clorura de polivinil Glucoza 5% 9 mg/ml 24°C Lumina
24 Ora
421
Joker

polietilen clorura de sodiu 0,9% 3 mg/ml 22°C Ferit de lumina
24 Ora
1067
Nivel de evidență C

polietilen clorura de sodiu 0,9% 3 mg/ml 4°C Ferit de lumina
24 Ora
1067
Nivel de evidență C

polietilen Glucoza 5% 3 mg/ml 22°C Ferit de lumina
24 Ora
1067
Nivel de evidență C

polietilen Glucoza 5% 3 mg/ml 4°C Ferit de lumina
24 Ora
1067
Nivel de evidență C

etilen vinil acetat clorura de sodiu 0,9% 6 & 12 mg/ml 23°C Ferit de lumina
7 Ziua
1815
Nivel de evidență A+

etilen vinil acetat clorura de sodiu 0,9% 6 & 12 mg/ml 4°C Ferit de lumina
30 Ziua
1815
Nivel de evidență A+

seringă polipropileno clorura de sodiu 0,9% 150 mg/ml 22°C-23°C Lumina
48 Ora
639
Nivel de evidență D

seringă polipropileno clorura de sodiu 0,9% 60 mg/ml 25°C Lumina
48 Ora
644
Nivel de evidență B

Elastomer poliizoprenic clorura de sodiu 0,9% 2 & 12 mg/ml 25°C Neprecizat
24 Ora
604
Documentele de stabilitate ale producătorului

Elastomer poliizoprenic clorura de sodiu 0,9% 2 & 12 mg/ml 4°C Ferit de lumina
10 Ziua
604
Documentele de stabilitate ale producătorului

neprecizat clorura de sodiu 0,9% 9,5 mg/ml 2-8°C Neprecizat
49 Ziua
4622
Nivel de evidență A+

neprecizat clorura de sodiu 0,9% 9,5 mg/ml 25°C Neprecizat
24 Ora
4622
Nivel de evidență A+

neprecizat Glucoza 5% 9,5 mg/ml 2-8°C Neprecizat
47 Ziua
4619
Nivel de evidență A+

neprecizat Glucoza 5% 9,5 mg/ml 25°C Neprecizat
24 Ora
4619
Nivel de evidență A+


  Mentions Légales