Τελευταία ενημέρωση :
27/01/2026
Αντιβιοτικό   Clindamycin phosphate  
Ενέσιμο
Σταθερότητα διαλυμάτων Σταθερότητα σε μίγματα Παράγοντας που επηρεάζει τη σταθερότητα Συμβατότητες Τρόπος χορήγησης Βιβλιογραφία pdf
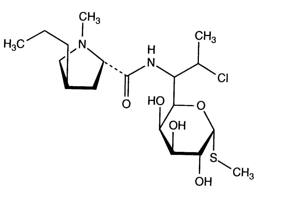
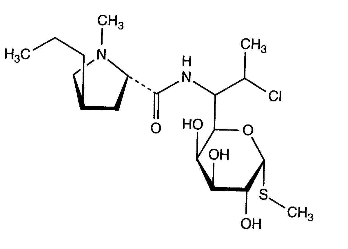
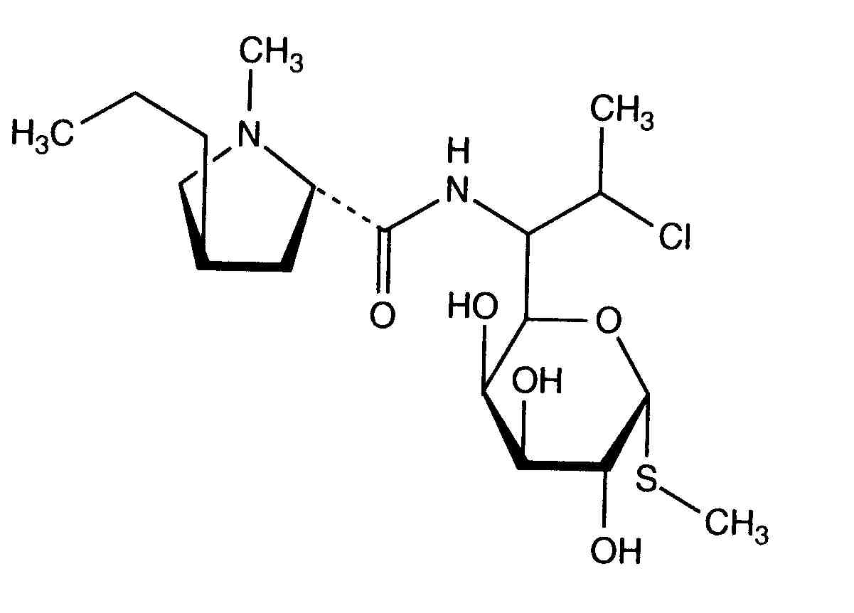
   χημική δομή  

Εμπορική ονομασία   Εμπορική ονομασία     

Οι εμπορικές ονομασίες είναι ενδεικτικές και η σύνθεση των εκδόχων μπορεί να διαφέρει ανάλογα με τη χώρα και τα εργαστήρια

Biodaclin Μεξικό
Camyda Ινδία
Cinbiot Μεξικό
Cleocin Αυστρία, Η.Π.Α., Τουρκία
Clinamsa Μεξικό
Clinbac Κολομβία, Περού
Clincina Πορτογαλία
Clinda-Saar Γερμανία
Clindacid Βενεζουέλα
Clindacin Μαλαισία
Clindalaf Αργεντινή
Clindamicina Αργεντινή, Βενεζουέλα, Βραζιλία, Εκουαδόρ, Ισπανία, Ιταλία, Κολομβία, Μεξικό, Περού, Πορτογαλία, Χιλή
Clindamycin Αυστρία, Γερμανία, Η.Π.Α., Ιράν, Καναδάς, Νορβηγία, Ρουμανία, Σαουδική Αραβία, Σουηδία
Clindamycin-Hameln Γερμανία
Clindamycine Βέλγιο, Γαλλία, Ολλανδία, Τυνησία
Clindanovag Αργεντινή
Clindarix Βραζιλία
Clindasol Γερμανία
Clindaval Βενεζουέλα
Clindazyn Μεξικό
Clindo Πολωνία
Clysvic Μεξικό
Daclin Χιλή
Dalacin Yhdistyneet arabiemiirikunnat, Αίγυπτος, Αυστραλία, Βέλγιο, Βενεζουέλα, Δανία, Εκουαδόρ, Ελβετία, Ελλάδα, Ινδία, Ιράν, Ιρλανδία, Ισλανδία, Ιταλία, Καναδάς, Κολομβία, Λουξεμβούργο, Μαλαισία, Μεγάλη Βρετανία, Μεξικό, νέα Ζηλανδία, Νορβηγία, Ολλανδία, Ουγγαρία, Πολωνία, Σαουδική Αραβία, Σουηδία, Τυνησία, Φινλανδία, Χιλή
Dalacine Γαλλία, Τυνησία
Daladic Ιράν
Dalcinex Ινδία
Damclid Ινδία
Damicin Κολομβία, Μεξικό
Damicine Κολομβία
Dolarclin Κολομβία
Euroclin Εκουαδόρ, Κολομβία
Gynasafe Ινδία
Indamid Μεξικό
Klimicin Πολωνία
Klindan Τουρκία
Klindaver Τουρκία
Lanacine Αυστρία
Lincocin Μαλαισία
Lincosa Μαλαισία
Meneklin Τουρκία
Sobelin Γερμανία
Tidact Μαλαισία
Σταθερότητα διαλυμάτων   Ενέσιμο   Σταθερότητα διαλυμάτων : Clindamycin phosphate     
Υποδοχέας Διαλυτικό Συγκέντρωση Θερμοκρασία Αποθήκευση Διάρκεια σταθερότητας Βιβλιογραφία
Ύαλος Ενέσιμο ύδωρ 15 mg/ml 22°C Προστατεύετε από το φως
91 Ημέρα
80
Επίπεδο των αποδεικτικών στοιχείων C

Ύαλος Ενέσιμο ύδωρ 15 mg/ml 4°C Προστατεύετε από το φως
91 Ημέρα
80
Επίπεδο των αποδεικτικών στοιχείων C

Ύαλος Χλωριούχο νάτριο 0,9% 6 , 9 & 12 mg/ml -10°C Προστατεύετε από το φως
56 Ημέρα
566

Ύαλος Χλωριούχο νάτριο 0,9% 6 , 9 & 12 mg/ml 25°C Απροσδιόριστο
16 Ημέρα
566

Ύαλος Χλωριούχο νάτριο 0,9% 6 , 9 & 12 mg/ml 4°C Προστατεύετε από το φως
32 Ημέρα
566

Ύαλος Χλωριούχο νάτριο 0,9% 9 mg/ml 24°C Φως
24 Ώρα
421
Τζόκερ

Ύαλος Χλωριούχο νάτριο 0,9% 9 mg/ml 25°C Φως
48 Ώρα
418
Επίπεδο των αποδεικτικών στοιχείων D

Ύαλος Χλωριούχο νάτριο 0,9% 9 mg/ml 25°C Απροσδιόριστο
48 Ώρα
565
Επίπεδο των αποδεικτικών στοιχείων D

Ύαλος Χλωριούχο νάτριο 0,9% 9 & 12 mg/ml 25°C Φως
48 Ώρα
432
Επίπεδο των αποδεικτικών στοιχείων D

Ύαλος Γλυκόζη 5% 6 , 9 & 12 mg/ml -10°C Προστατεύετε από το φως
56 Ημέρα
566

Ύαλος Γλυκόζη 5% 6 , 9 & 12 mg/ml 25°C Απροσδιόριστο
16 Ημέρα
566

Ύαλος Γλυκόζη 5% 6 , 9 & 12 mg/ml 4°C Προστατεύετε από το φως
32 Ημέρα
566

Ύαλος Γλυκόζη 5% 9 mg/ml 24°C Φως
24 Ώρα
421
Τζόκερ

Ύαλος Γλυκόζη 5% 9 mg/ml 25°C Φως
48 Ώρα
418
Επίπεδο των αποδεικτικών στοιχείων D

Ύαλος Γλυκόζη 5% 9 mg/ml 25°C Απροσδιόριστο
48 Ώρα
565
Επίπεδο των αποδεικτικών στοιχείων D

Ύαλος Γλυκόζη 5% 9 & 12 mg/ml 25°C Φως
48 Ώρα
432
Επίπεδο των αποδεικτικών στοιχείων D

Πολυβινυλοχλωρίδιο Χλωριούχο νάτριο 0,9% 6 , 9 & 12 mg/ml -10°C Προστατεύετε από το φως
56 Ημέρα
566

Πολυβινυλοχλωρίδιο Χλωριούχο νάτριο 0,9% 6 , 9 & 12 mg/ml 25°C Απροσδιόριστο
16 Ημέρα
566

Πολυβινυλοχλωρίδιο Χλωριούχο νάτριο 0,9% 6 , 9 & 12 mg/ml 4°C Προστατεύετε από το φως
32 Ημέρα
566

Πολυβινυλοχλωρίδιο Χλωριούχο νάτριο 0,9% 6 & 12 mg/ml -10°C Προστατεύετε από το φως
68 Ημέρα
567
Επίπεδο των αποδεικτικών στοιχείων A

Πολυβινυλοχλωρίδιο Χλωριούχο νάτριο 0,9% 6 & 12 mg/ml 25°C Απροσδιόριστο
22 Ημέρα
567
Επίπεδο των αποδεικτικών στοιχείων A

Πολυβινυλοχλωρίδιο Χλωριούχο νάτριο 0,9% 6 & 12 mg/ml 5°C Προστατεύετε από το φως
54 Ημέρα
567
Επίπεδο των αποδεικτικών στοιχείων A

Πολυβινυλοχλωρίδιο Χλωριούχο νάτριο 0,9% 9 mg/ml -20°C Προστατεύετε από το φως
28 Ημέρα
565
Επίπεδο των αποδεικτικών στοιχείων D

Πολυβινυλοχλωρίδιο Χλωριούχο νάτριο 0,9% 9 mg/ml 24°C Φως
24 Ώρα
421
Τζόκερ

Πολυβινυλοχλωρίδιο Γλυκόζη 5% 6 mg/ml -20°C Προστατεύετε από το φως
30 Ημέρα
575
Βιολογική ανάλυση

Πολυβινυλοχλωρίδιο Γλυκόζη 5% 6 , 9 & 12 mg/ml -10°C Προστατεύετε από το φως
56 Ημέρα
566

Πολυβινυλοχλωρίδιο Γλυκόζη 5% 6 , 9 & 12 mg/ml 25°C Απροσδιόριστο
16 Ημέρα
566

Πολυβινυλοχλωρίδιο Γλυκόζη 5% 6 , 9 & 12 mg/ml 4°C Προστατεύετε από το φως
32 Ημέρα
566

Πολυβινυλοχλωρίδιο Γλυκόζη 5% 6 & 12 mg/ml -10°C Προστατεύετε από το φως
68 Ημέρα
567
Επίπεδο των αποδεικτικών στοιχείων A

Πολυβινυλοχλωρίδιο Γλυκόζη 5% 6 & 12 mg/ml 25°C Απροσδιόριστο
22 Ημέρα
567
Επίπεδο των αποδεικτικών στοιχείων A

Πολυβινυλοχλωρίδιο Γλυκόζη 5% 6 & 12 mg/ml 5°C Προστατεύετε από το φως
54 Ημέρα
567
Επίπεδο των αποδεικτικών στοιχείων A

Πολυβινυλοχλωρίδιο Γλυκόζη 5% 9 mg/ml -20°C Προστατεύετε από το φως
28 Ημέρα
565
Επίπεδο των αποδεικτικών στοιχείων D

Πολυβινυλοχλωρίδιο Γλυκόζη 5% 9 mg/ml 24°C Φως
24 Ώρα
421
Τζόκερ

Πολυαιθυλένιο Χλωριούχο νάτριο 0,9% 3 mg/ml 22°C Προστατεύετε από το φως
24 Ώρα
1067
Επίπεδο των αποδεικτικών στοιχείων C

Πολυαιθυλένιο Χλωριούχο νάτριο 0,9% 3 mg/ml 4°C Προστατεύετε από το φως
24 Ώρα
1067
Επίπεδο των αποδεικτικών στοιχείων C

Πολυαιθυλένιο Γλυκόζη 5% 3 mg/ml 22°C Προστατεύετε από το φως
24 Ώρα
1067
Επίπεδο των αποδεικτικών στοιχείων C

Πολυαιθυλένιο Γλυκόζη 5% 3 mg/ml 4°C Προστατεύετε από το φως
24 Ώρα
1067
Επίπεδο των αποδεικτικών στοιχείων C

Συμπολυμερές του αιθυλενίου και του οξικ Χλωριούχο νάτριο 0,9% 6 & 12 mg/ml 23°C Προστατεύετε από το φως
7 Ημέρα
1815
Επίπεδο των αποδεικτικών στοιχείων A+

Συμπολυμερές του αιθυλενίου και του οξικ Χλωριούχο νάτριο 0,9% 6 & 12 mg/ml 4°C Προστατεύετε από το φως
30 Ημέρα
1815
Επίπεδο των αποδεικτικών στοιχείων A+

σύριγγα πολυπροπυλένιο Χλωριούχο νάτριο 0,9% 150 mg/ml 22°C-23°C Φως
48 Ώρα
639
Επίπεδο των αποδεικτικών στοιχείων D

σύριγγα πολυπροπυλένιο Χλωριούχο νάτριο 0,9% 60 mg/ml 25°C Φως
48 Ώρα
644
Επίπεδο των αποδεικτικών στοιχείων B

Ελαστομερές πολυισοπρένιο Χλωριούχο νάτριο 0,9% 2 & 12 mg/ml 25°C Απροσδιόριστο
24 Ώρα
604
Δεδομένα σταθερότητας του κατασκευαστή/ών

Ελαστομερές πολυισοπρένιο Χλωριούχο νάτριο 0,9% 2 & 12 mg/ml 4°C Προστατεύετε από το φως
10 Ημέρα
604
Δεδομένα σταθερότητας του κατασκευαστή/ών

Απροσδιόριστο Χλωριούχο νάτριο 0,9% 9,5 mg/ml 2-8°C Απροσδιόριστο
49 Ημέρα
4622
Επίπεδο των αποδεικτικών στοιχείων A+

Απροσδιόριστο Χλωριούχο νάτριο 0,9% 9,5 mg/ml 25°C Απροσδιόριστο
24 Ώρα
4622
Επίπεδο των αποδεικτικών στοιχείων A+

Απροσδιόριστο Γλυκόζη 5% 9,5 mg/ml 2-8°C Απροσδιόριστο
47 Ημέρα
4619
Επίπεδο των αποδεικτικών στοιχείων A+

Απροσδιόριστο Γλυκόζη 5% 9,5 mg/ml 25°C Απροσδιόριστο
24 Ώρα
4619
Επίπεδο των αποδεικτικών στοιχείων A+


  Mentions Légales