Ostatnia aktualizacja :
27/01/2026
Antybiotyk   Clindamycin phosphate  
Injekcje
Trwałość roztworów Trwałość w mieszaninie Czynnik wpływający na trwałość Zgodność Sposób podania Bibliografia pdf
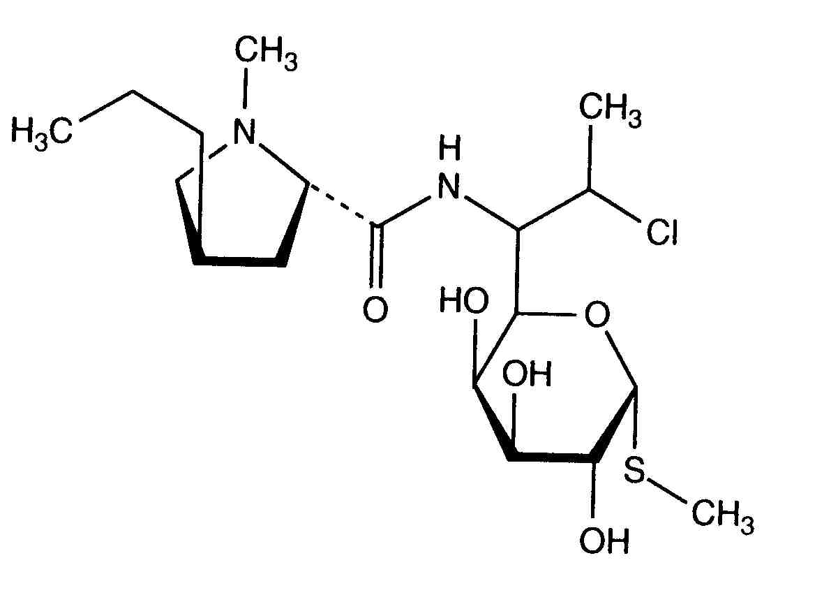
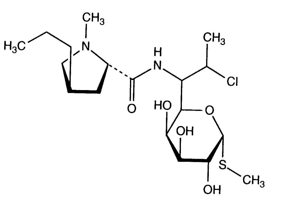
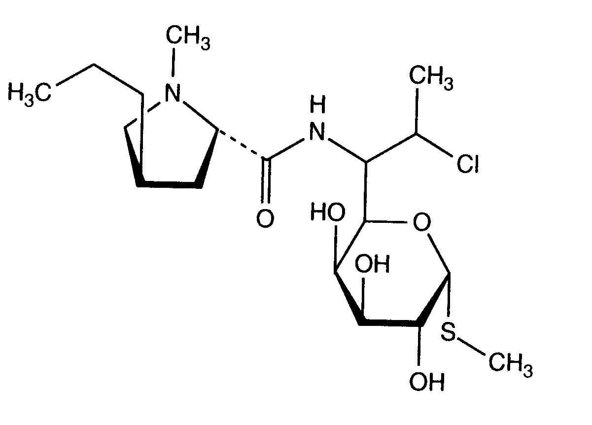
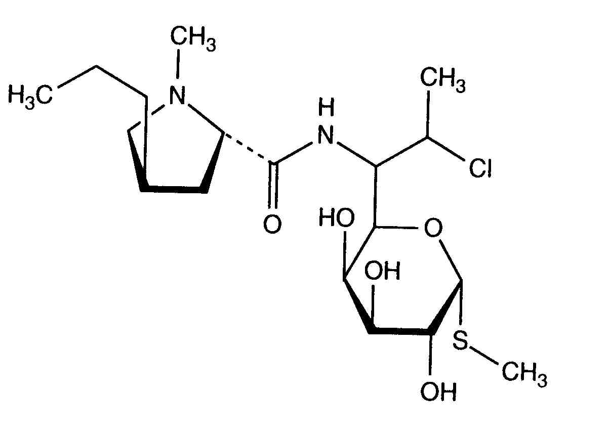
   Struktura chemiczna  

Nazwa handlowa   Nazwa handlowa     

Trade names are indicative and excipients composition can be different depending on the country and manufacturers

Biodaclin Meksyk
Camyda Indie
Cinbiot Meksyk
Cleocin Austria, Stany Zjednoczone Ameryki, Turcja
Clinamsa Meksyk
Clinbac KolumbiaKolumbia, Peru
Clincina Portugalia
Clinda-Saar Niemcy
Clindacid Wenezuela
Clindacin Malezja
Clindalaf Argentyna
Clindamicina Argentyna, Brazylia, Chile, Ekwador, Hiszpania, KolumbiaKolumbia, Meksyk, Peru, Portugalia, Wenezuela, Włochy
Clindamycin Arabia Saudyjska, Austria, Iran, Kanada, Niemcy, Norwegia, Rumunia, Stany Zjednoczone Ameryki, Szwecja
Clindamycin-Hameln Niemcy
Clindamycine Belgia, Francja , Holandia, Tunisie
Clindanovag Argentyna
Clindarix Brazylia
Clindasol Niemcy
Clindaval Wenezuela
Clindazyn Meksyk
Clindo Polska
Clysvic Meksyk
Daclin Chile
Dalacin Arabia Saudyjska, Australia, Belgia, Chile, Dania, Egipt, Ekwador, Finlandia, Grecja, Holandia, Indie, Iran, Irlandia, Islandia, Kanada, KolumbiaKolumbia, Luksemburg, Malezja, Meksyk, Norwegia, nowa Zelandia, Polska, Szwajcaria, Szwecja, Tunisie, Węgry, Wenezuela, Wielka Brytania, Włochy, Zjednoczone Emiraty Arabskie
Dalacine Francja , Tunisie
Daladic Iran
Dalcinex Indie
Damclid Indie
Damicin KolumbiaKolumbia, Meksyk
Damicine KolumbiaKolumbia
Dolarclin KolumbiaKolumbia
Euroclin Ekwador, KolumbiaKolumbia
Gynasafe Indie
Indamid Meksyk
Klimicin Polska
Klindan Turcja
Klindaver Turcja
Lanacine Austria
Lincocin Malezja
Lincosa Malezja
Meneklin Turcja
Sobelin Niemcy
Tidact Malezja
Trwałość roztworów   Injekcje   Trwałość roztworów : Clindamycin phosphate     
Pojemnik Rozpuszczalnik Stężenie Temperatura Przechowywanie Czas trwania stabilności Bibliografia
Szkło Woda do wstrzyknięć 15 mg/ml 22°C Chronić od światła
91 Dzień
80
Poziom wiarygodności C

Szkło Woda do wstrzyknięć 15 mg/ml 4°C Chronić od światła
91 Dzień
80
Poziom wiarygodności C

Szkło Chlorek sodu 0,9% 6 , 9 & 12 mg/ml -10°C Chronić od światła
56 Dzień
566

Szkło Chlorek sodu 0,9% 6 , 9 & 12 mg/ml 25°C Nie wyszczególniony
16 Dzień
566

Szkło Chlorek sodu 0,9% 6 , 9 & 12 mg/ml 4°C Chronić od światła
32 Dzień
566

Szkło Chlorek sodu 0,9% 9 mg/ml 24°C światło
24 Godzina
421
Joker

Szkło Chlorek sodu 0,9% 9 mg/ml 25°C światło
48 Godzina
418
Poziom wiarygodności D

Szkło Chlorek sodu 0,9% 9 mg/ml 25°C Nie wyszczególniony
48 Godzina
565
Poziom wiarygodności D

Szkło Chlorek sodu 0,9% 9 & 12 mg/ml 25°C światło
48 Godzina
432
Poziom wiarygodności D

Szkło Glukoza 5% 6 , 9 & 12 mg/ml -10°C Chronić od światła
56 Dzień
566

Szkło Glukoza 5% 6 , 9 & 12 mg/ml 25°C Nie wyszczególniony
16 Dzień
566

Szkło Glukoza 5% 6 , 9 & 12 mg/ml 4°C Chronić od światła
32 Dzień
566

Szkło Glukoza 5% 9 mg/ml 24°C światło
24 Godzina
421
Joker

Szkło Glukoza 5% 9 mg/ml 25°C światło
48 Godzina
418
Poziom wiarygodności D

Szkło Glukoza 5% 9 mg/ml 25°C Nie wyszczególniony
48 Godzina
565
Poziom wiarygodności D

Szkło Glukoza 5% 9 & 12 mg/ml 25°C światło
48 Godzina
432
Poziom wiarygodności D

Polichlorek winylu Chlorek sodu 0,9% 6 , 9 & 12 mg/ml -10°C Chronić od światła
56 Dzień
566

Polichlorek winylu Chlorek sodu 0,9% 6 , 9 & 12 mg/ml 25°C Nie wyszczególniony
16 Dzień
566

Polichlorek winylu Chlorek sodu 0,9% 6 , 9 & 12 mg/ml 4°C Chronić od światła
32 Dzień
566

Polichlorek winylu Chlorek sodu 0,9% 6 & 12 mg/ml -10°C Chronić od światła
68 Dzień
567
Poziom wiarygodności A

Polichlorek winylu Chlorek sodu 0,9% 6 & 12 mg/ml 25°C Nie wyszczególniony
22 Dzień
567
Poziom wiarygodności A

Polichlorek winylu Chlorek sodu 0,9% 6 & 12 mg/ml 5°C Chronić od światła
54 Dzień
567
Poziom wiarygodności A

Polichlorek winylu Chlorek sodu 0,9% 9 mg/ml -20°C Chronić od światła
28 Dzień
565
Poziom wiarygodności D

Polichlorek winylu Chlorek sodu 0,9% 9 mg/ml 24°C światło
24 Godzina
421
Joker

Polichlorek winylu Glukoza 5% 6 mg/ml -20°C Chronić od światła
30 Dzień
575
Analiza biologiczna

Polichlorek winylu Glukoza 5% 6 , 9 & 12 mg/ml -10°C Chronić od światła
56 Dzień
566

Polichlorek winylu Glukoza 5% 6 , 9 & 12 mg/ml 25°C Nie wyszczególniony
16 Dzień
566

Polichlorek winylu Glukoza 5% 6 , 9 & 12 mg/ml 4°C Chronić od światła
32 Dzień
566

Polichlorek winylu Glukoza 5% 6 & 12 mg/ml -10°C Chronić od światła
68 Dzień
567
Poziom wiarygodności A

Polichlorek winylu Glukoza 5% 6 & 12 mg/ml 25°C Nie wyszczególniony
22 Dzień
567
Poziom wiarygodności A

Polichlorek winylu Glukoza 5% 6 & 12 mg/ml 5°C Chronić od światła
54 Dzień
567
Poziom wiarygodności A

Polichlorek winylu Glukoza 5% 9 mg/ml -20°C Chronić od światła
28 Dzień
565
Poziom wiarygodności D

Polichlorek winylu Glukoza 5% 9 mg/ml 24°C światło
24 Godzina
421
Joker

Polietylen Chlorek sodu 0,9% 3 mg/ml 22°C Chronić od światła
24 Godzina
1067
Poziom wiarygodności C

Polietylen Chlorek sodu 0,9% 3 mg/ml 4°C Chronić od światła
24 Godzina
1067
Poziom wiarygodności C

Polietylen Glukoza 5% 3 mg/ml 22°C Chronić od światła
24 Godzina
1067
Poziom wiarygodności C

Polietylen Glukoza 5% 3 mg/ml 4°C Chronić od światła
24 Godzina
1067
Poziom wiarygodności C

Etylen/octan winylu Chlorek sodu 0,9% 6 & 12 mg/ml 23°C Chronić od światła
7 Dzień
1815
Poziom wiarygodności A+

Etylen/octan winylu Chlorek sodu 0,9% 6 & 12 mg/ml 4°C Chronić od światła
30 Dzień
1815
Poziom wiarygodności A+

Strzykawka Chlorek sodu 0,9% 150 mg/ml 22°C-23°C światło
48 Godzina
639
Poziom wiarygodności D

Strzykawka Chlorek sodu 0,9% 60 mg/ml 25°C światło
48 Godzina
644
Poziom wiarygodności B

Elastomer poliizoprenowy Chlorek sodu 0,9% 2 & 12 mg/ml 25°C Nie wyszczególniony
24 Godzina
604
Dane stabilności producenta

Elastomer poliizoprenowy Chlorek sodu 0,9% 2 & 12 mg/ml 4°C Chronić od światła
10 Dzień
604
Dane stabilności producenta

Brak informacji Chlorek sodu 0,9% 9,5 mg/ml 2-8°C Nie wyszczególniony
49 Dzień
4622
Poziom wiarygodności A+

Brak informacji Chlorek sodu 0,9% 9,5 mg/ml 25°C Nie wyszczególniony
24 Godzina
4622
Poziom wiarygodności A+

Brak informacji Glukoza 5% 9,5 mg/ml 2-8°C Nie wyszczególniony
47 Dzień
4619
Poziom wiarygodności A+

Brak informacji Glukoza 5% 9,5 mg/ml 25°C Nie wyszczególniony
24 Godzina
4619
Poziom wiarygodności A+


  Mentions Légales