Viimeisin päivitys :
27/01/2026
Antibiootit   Clindamycin phosphate  
Injektioneste
Stabilius liuoksessa Stabilius seoksissa Tekijät, jotka vaikuttavat stabiliuteen Yhteensopivuus Antotapa Viitteet pdf
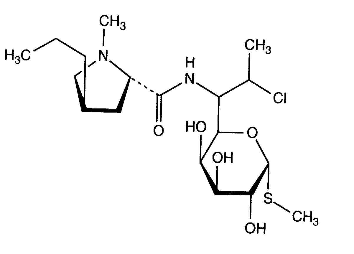
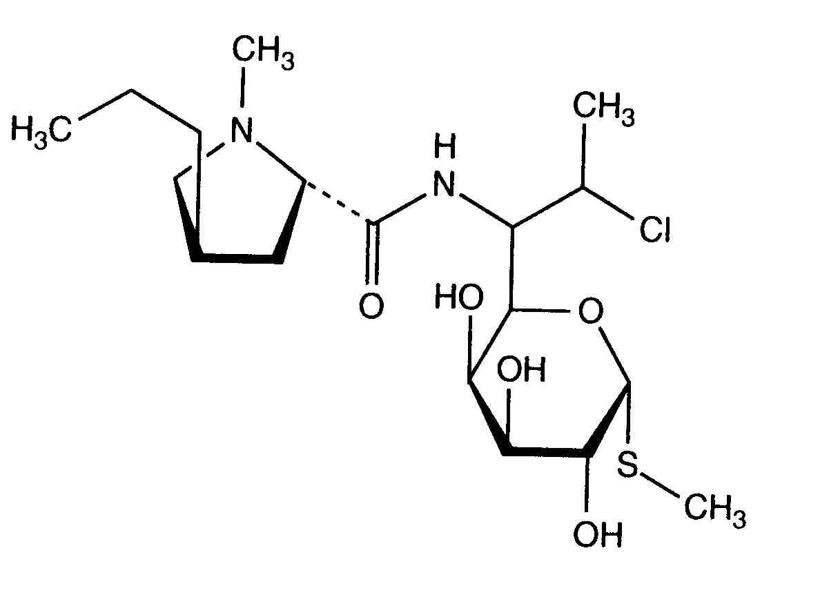
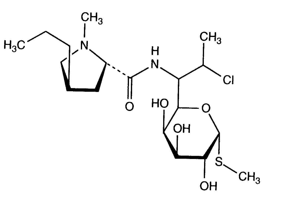
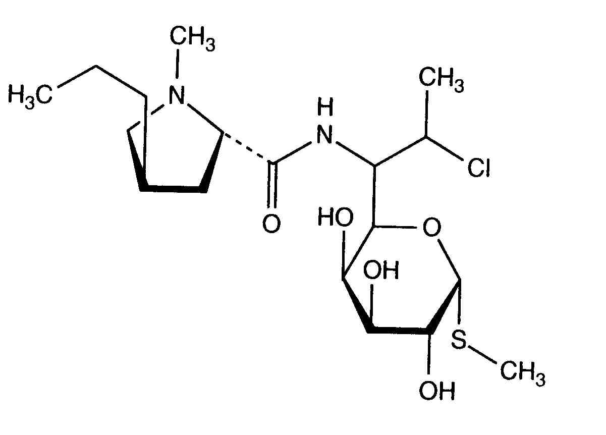
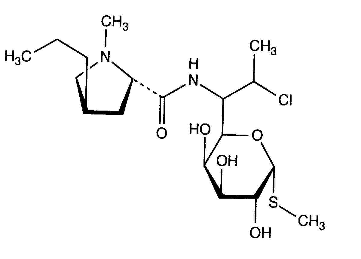
   Kemiallinen rakenne  

Kauppanimi   Kauppanimi     

Trade names are indicative and excipients composition can be different depending on the country and manufacturers

Biodaclin Meksiko
Camyda Intia
Cinbiot Meksiko
Cleocin Itävalta, Turkki, Yhdysvallat
Clinamsa Meksiko
Clinbac Kolumbia, Marokko
Clincina Portugali
Clinda-Saar Saksa
Clindacid Venezuela
Clindacin Malesia
Clindalaf Argentiina
Clindamicina Argentiina, Brasilia, Chile, Ecuador, Espanja, Italia, Kolumbia, Marokko, Meksiko, Portugali, Venezuela
Clindamycin Iran, Itävalta, Kanada, Norja, Romania, Ruotsi, Saksa, Saudi-Arabia, Yhdysvallat
Clindamycin-Hameln Saksa
Clindamycine Belgia, Hollanti, Ranska, Tunisia
Clindanovag Argentiina
Clindarix Brasilia
Clindasol Saksa
Clindaval Venezuela
Clindazyn Meksiko
Clindo Puola
Clysvic Meksiko
Daclin Chile
Dalacin Australia, Belgia, Chile, Ecuador, Egypti, Hollanti, Intia, Iran, Irlanti, Islanti, Iso-Britannia, Italia, Kanada, Kolumbia, Kreikka, Luxemburg, Malesia, Meksiko, New Zealand, Norja, Puola, Ruotsi, Saudi-Arabia, Suomi, Sveitsi, Tanska, Tunisia, Unkari, Venezuela, Yhdistyneet arabiemiirikunnat
Dalacine Ranska, Tunisia
Daladic Iran
Dalcinex Intia
Damclid Intia
Damicin Kolumbia, Meksiko
Damicine Kolumbia
Dolarclin Kolumbia
Euroclin Ecuador, Kolumbia
Gynasafe Intia
Indamid Meksiko
Klimicin Puola
Klindan Turkki
Klindaver Turkki
Lanacine Itävalta
Lincocin Malesia
Lincosa Malesia
Meneklin Turkki
Sobelin Saksa
Tidact Malesia
Stabilius liuoksessa   Injektioneste   Stabilius liuoksessa : Clindamycin phosphate     
Astia Liuotin Konsentraatio Lämpötila Säilytys Vakauden kesto Viitteet
Lasi Injektionesteisiin käytettävä vesi 15 mg/ml 22°C Suojattava valolta
91 Päivä
80
Näytön laajuus C

Lasi Injektionesteisiin käytettävä vesi 15 mg/ml 4°C Suojattava valolta
91 Päivä
80
Näytön laajuus C

Lasi Natriumkloridi 0,9% 6 , 9 & 12 mg/ml -10°C Suojattava valolta
56 Päivä
566

Lasi Natriumkloridi 0,9% 6 , 9 & 12 mg/ml 25°C Ei määritetty
16 Päivä
566

Lasi Natriumkloridi 0,9% 6 , 9 & 12 mg/ml 4°C Suojattava valolta
32 Päivä
566

Lasi Natriumkloridi 0,9% 9 mg/ml 24°C Valo
24 tunti
421
Jokeri

Lasi Natriumkloridi 0,9% 9 mg/ml 25°C Valo
48 tunti
418
Näytön laajuus D

Lasi Natriumkloridi 0,9% 9 mg/ml 25°C Ei määritetty
48 tunti
565
Näytön laajuus D

Lasi Natriumkloridi 0,9% 9 & 12 mg/ml 25°C Valo
48 tunti
432
Näytön laajuus D

Lasi Glukoosi 5% 6 , 9 & 12 mg/ml -10°C Suojattava valolta
56 Päivä
566

Lasi Glukoosi 5% 6 , 9 & 12 mg/ml 25°C Ei määritetty
16 Päivä
566

Lasi Glukoosi 5% 6 , 9 & 12 mg/ml 4°C Suojattava valolta
32 Päivä
566

Lasi Glukoosi 5% 9 mg/ml 24°C Valo
24 tunti
421
Jokeri

Lasi Glukoosi 5% 9 mg/ml 25°C Valo
48 tunti
418
Näytön laajuus D

Lasi Glukoosi 5% 9 mg/ml 25°C Ei määritetty
48 tunti
565
Näytön laajuus D

Lasi Glukoosi 5% 9 & 12 mg/ml 25°C Valo
48 tunti
432
Näytön laajuus D

Polyvinyylikloridi Natriumkloridi 0,9% 6 , 9 & 12 mg/ml -10°C Suojattava valolta
56 Päivä
566

Polyvinyylikloridi Natriumkloridi 0,9% 6 , 9 & 12 mg/ml 25°C Ei määritetty
16 Päivä
566

Polyvinyylikloridi Natriumkloridi 0,9% 6 , 9 & 12 mg/ml 4°C Suojattava valolta
32 Päivä
566

Polyvinyylikloridi Natriumkloridi 0,9% 6 & 12 mg/ml -10°C Suojattava valolta
68 Päivä
567
Näytön laajuus A

Polyvinyylikloridi Natriumkloridi 0,9% 6 & 12 mg/ml 25°C Ei määritetty
22 Päivä
567
Näytön laajuus A

Polyvinyylikloridi Natriumkloridi 0,9% 6 & 12 mg/ml 5°C Suojattava valolta
54 Päivä
567
Näytön laajuus A

Polyvinyylikloridi Natriumkloridi 0,9% 9 mg/ml -20°C Suojattava valolta
28 Päivä
565
Näytön laajuus D

Polyvinyylikloridi Natriumkloridi 0,9% 9 mg/ml 24°C Valo
24 tunti
421
Jokeri

Polyvinyylikloridi Glukoosi 5% 6 mg/ml -20°C Suojattava valolta
30 Päivä
575
Biologinen menetelmä

Polyvinyylikloridi Glukoosi 5% 6 , 9 & 12 mg/ml -10°C Suojattava valolta
56 Päivä
566

Polyvinyylikloridi Glukoosi 5% 6 , 9 & 12 mg/ml 25°C Ei määritetty
16 Päivä
566

Polyvinyylikloridi Glukoosi 5% 6 , 9 & 12 mg/ml 4°C Suojattava valolta
32 Päivä
566

Polyvinyylikloridi Glukoosi 5% 6 & 12 mg/ml -10°C Suojattava valolta
68 Päivä
567
Näytön laajuus A

Polyvinyylikloridi Glukoosi 5% 6 & 12 mg/ml 25°C Ei määritetty
22 Päivä
567
Näytön laajuus A

Polyvinyylikloridi Glukoosi 5% 6 & 12 mg/ml 5°C Suojattava valolta
54 Päivä
567
Näytön laajuus A

Polyvinyylikloridi Glukoosi 5% 9 mg/ml -20°C Suojattava valolta
28 Päivä
565
Näytön laajuus D

Polyvinyylikloridi Glukoosi 5% 9 mg/ml 24°C Valo
24 tunti
421
Jokeri

Polyetyleeni Natriumkloridi 0,9% 3 mg/ml 22°C Suojattava valolta
24 tunti
1067
Näytön laajuus C

Polyetyleeni Natriumkloridi 0,9% 3 mg/ml 4°C Suojattava valolta
24 tunti
1067
Näytön laajuus C

Polyetyleeni Glukoosi 5% 3 mg/ml 22°C Suojattava valolta
24 tunti
1067
Näytön laajuus C

Polyetyleeni Glukoosi 5% 3 mg/ml 4°C Suojattava valolta
24 tunti
1067
Näytön laajuus C

Etyleenivinyyliasetaatti Natriumkloridi 0,9% 6 & 12 mg/ml 23°C Suojattava valolta
7 Päivä
1815
Näytön laajuus A+

Etyleenivinyyliasetaatti Natriumkloridi 0,9% 6 & 12 mg/ml 4°C Suojattava valolta
30 Päivä
1815
Näytön laajuus A+

Ruisku  polypropeeni Natriumkloridi 0,9% 150 mg/ml 22°C-23°C Valo
48 tunti
639
Näytön laajuus D

Ruisku  polypropeeni Natriumkloridi 0,9% 60 mg/ml 25°C Valo
48 tunti
644
Näytön laajuus B

Polyisopreeni elastomeeri Natriumkloridi 0,9% 2 & 12 mg/ml 25°C Ei määritetty
24 tunti
604
Valmistajan antamat stabiiliustiedot

Polyisopreeni elastomeeri Natriumkloridi 0,9% 2 & 12 mg/ml 4°C Suojattava valolta
10 Päivä
604
Valmistajan antamat stabiiliustiedot

Ei määritetty Natriumkloridi 0,9% 9,5 mg/ml 2-8°C Ei määritetty
49 Päivä
4622
Näytön laajuus A+

Ei määritetty Natriumkloridi 0,9% 9,5 mg/ml 25°C Ei määritetty
24 tunti
4622
Näytön laajuus A+

Ei määritetty Glukoosi 5% 9,5 mg/ml 2-8°C Ei määritetty
47 Päivä
4619
Näytön laajuus A+

Ei määritetty Glukoosi 5% 9,5 mg/ml 25°C Ei määritetty
24 tunti
4619
Näytön laajuus A+


  Mentions Légales