viimane versioon :
27/01/2026
antibiootikum   Clindamycin phosphate  
Süsteravim
Stabiilsus lahustes Stabiilsust mõjutavad tegurid stabiilsust mõjutavad faktorid Sobimatus Manustamis viis Viited pdf
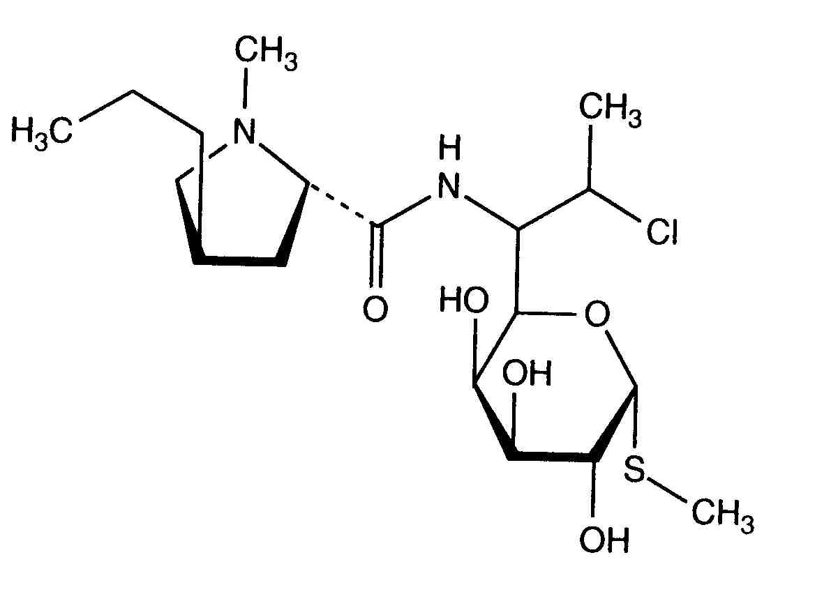
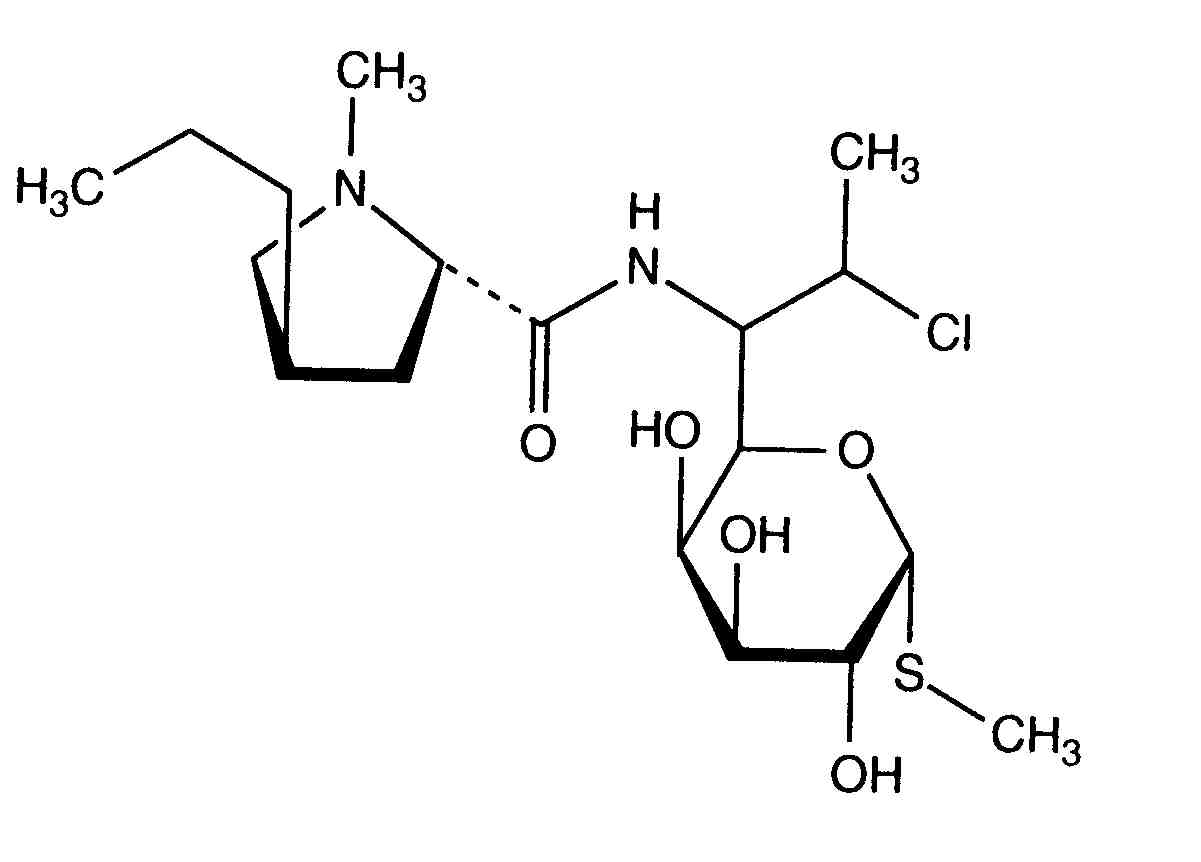
   keemiline struktuur  

Kaubanduslikud nimed erinevates maades   Kaubanduslikud nimed erinevates maades     

Preparaatide nimed on näitlikud ja abianete sisaldus võib erineda sõltuvalt riigist ja laborist

Biodaclin Mehhiko
Camyda India
Cinbiot Mehhiko
Cleocin Ameerika ühendriigid, Austria, Türgi
Clinamsa Mehhiko
Clinbac Kolumbia, Maroko
Clincina Portugal
Clinda-Saar Saksamaa
Clindacid Venetsueela
Clindacin Malaisia
Clindalaf Argentiina
Clindamicina Argentiina, Brasiilia, Ecuador, Hispaania, Itaalia, Kolumbia, Maroko, Mehhiko, Portugal, Tšiili, Venetsueela
Clindamycin Ameerika ühendriigid, Austria, Iraan, Kanada, Norra, Rootsi, Rumeenia, Saksamaa, Saudi Araabia
Clindamycin-Hameln Saksamaa
Clindamycine Belgia, Holland, Prantsusmaa, Tuneesia
Clindanovag Argentiina
Clindarix Brasiilia
Clindasol Saksamaa
Clindaval Venetsueela
Clindazyn Mehhiko
Clindo Poola
Clysvic Mehhiko
Daclin Tšiili
Dalacin Araabia Ühendemiraadid, Austraalia, Belgia, Ecuador, Egiptus, Holland, Iirimaa, India, Iraan, Island, Itaalia, Kanada, Kolumbia, Kreeka, Luksemburg, Malaisia, Mehhiko, Norra, Poola, Rootsi, Saudi Araabia, Soome, Suurbritannia, Sveits, Taani, Tšiili, Tuneesia, Ungari, uus-Meremaa, Venetsueela
Dalacine Prantsusmaa, Tuneesia
Daladic Iraan
Dalcinex India
Damclid India
Damicin Kolumbia, Mehhiko
Damicine Kolumbia
Dolarclin Kolumbia
Euroclin Ecuador, Kolumbia
Gynasafe India
Indamid Mehhiko
Klimicin Poola
Klindan Türgi
Klindaver Türgi
Lanacine Austria
Lincocin Malaisia
Lincosa Malaisia
Meneklin Türgi
Sobelin Saksamaa
Tidact Malaisia
Stabiilsus lahustes   Süsteravim   Stabiilsus lahustes : Clindamycin phosphate     
konteiner lahusti kontsentratsioon temperatuur ladustamine Stabiilsuse kestus Viited
klaas süstevesi 15 mg/ml 22°C kaitsta valguse eest
91 päev
80
Tõenduspõhisuse tase C

klaas süstevesi 15 mg/ml 4°C kaitsta valguse eest
91 päev
80
Tõenduspõhisuse tase C

klaas naatriumkloriid 0.9% 6 , 9 & 12 mg/ml -10°C kaitsta valguse eest
56 päev
566

klaas naatriumkloriid 0.9% 6 , 9 & 12 mg/ml 25°C pole täpsustatud
16 päev
566

klaas naatriumkloriid 0.9% 6 , 9 & 12 mg/ml 4°C kaitsta valguse eest
32 päev
566

klaas naatriumkloriid 0.9% 9 mg/ml 24°C valgus
24 Tund
421
Jokker

klaas naatriumkloriid 0.9% 9 mg/ml 25°C valgus
48 Tund
418
Tõenduspõhisuse tase D

klaas naatriumkloriid 0.9% 9 mg/ml 25°C pole täpsustatud
48 Tund
565
Tõenduspõhisuse tase D

klaas naatriumkloriid 0.9% 9 & 12 mg/ml 25°C valgus
48 Tund
432
Tõenduspõhisuse tase D

klaas glükoos 5% 6 , 9 & 12 mg/ml -10°C kaitsta valguse eest
56 päev
566

klaas glükoos 5% 6 , 9 & 12 mg/ml 25°C pole täpsustatud
16 päev
566

klaas glükoos 5% 6 , 9 & 12 mg/ml 4°C kaitsta valguse eest
32 päev
566

klaas glükoos 5% 9 mg/ml 24°C valgus
24 Tund
421
Jokker

klaas glükoos 5% 9 mg/ml 25°C valgus
48 Tund
418
Tõenduspõhisuse tase D

klaas glükoos 5% 9 mg/ml 25°C pole täpsustatud
48 Tund
565
Tõenduspõhisuse tase D

klaas glükoos 5% 9 & 12 mg/ml 25°C valgus
48 Tund
432
Tõenduspõhisuse tase D

polüvinüülkloriid naatriumkloriid 0.9% 6 , 9 & 12 mg/ml -10°C kaitsta valguse eest
56 päev
566

polüvinüülkloriid naatriumkloriid 0.9% 6 , 9 & 12 mg/ml 25°C pole täpsustatud
16 päev
566

polüvinüülkloriid naatriumkloriid 0.9% 6 , 9 & 12 mg/ml 4°C kaitsta valguse eest
32 päev
566

polüvinüülkloriid naatriumkloriid 0.9% 6 & 12 mg/ml -10°C kaitsta valguse eest
68 päev
567
Tõenduspõhisuse tase A

polüvinüülkloriid naatriumkloriid 0.9% 6 & 12 mg/ml 25°C pole täpsustatud
22 päev
567
Tõenduspõhisuse tase A

polüvinüülkloriid naatriumkloriid 0.9% 6 & 12 mg/ml 5°C kaitsta valguse eest
54 päev
567
Tõenduspõhisuse tase A

polüvinüülkloriid naatriumkloriid 0.9% 9 mg/ml -20°C kaitsta valguse eest
28 päev
565
Tõenduspõhisuse tase D

polüvinüülkloriid naatriumkloriid 0.9% 9 mg/ml 24°C valgus
24 Tund
421
Jokker

polüvinüülkloriid glükoos 5% 6 mg/ml -20°C kaitsta valguse eest
30 päev
575
Bioloogiline analüüs

polüvinüülkloriid glükoos 5% 6 , 9 & 12 mg/ml -10°C kaitsta valguse eest
56 päev
566

polüvinüülkloriid glükoos 5% 6 , 9 & 12 mg/ml 25°C pole täpsustatud
16 päev
566

polüvinüülkloriid glükoos 5% 6 , 9 & 12 mg/ml 4°C kaitsta valguse eest
32 päev
566

polüvinüülkloriid glükoos 5% 6 & 12 mg/ml -10°C kaitsta valguse eest
68 päev
567
Tõenduspõhisuse tase A

polüvinüülkloriid glükoos 5% 6 & 12 mg/ml 25°C pole täpsustatud
22 päev
567
Tõenduspõhisuse tase A

polüvinüülkloriid glükoos 5% 6 & 12 mg/ml 5°C kaitsta valguse eest
54 päev
567
Tõenduspõhisuse tase A

polüvinüülkloriid glükoos 5% 9 mg/ml -20°C kaitsta valguse eest
28 päev
565
Tõenduspõhisuse tase D

polüvinüülkloriid glükoos 5% 9 mg/ml 24°C valgus
24 Tund
421
Jokker

polüetüleen naatriumkloriid 0.9% 3 mg/ml 22°C kaitsta valguse eest
24 Tund
1067
Tõenduspõhisuse tase C

polüetüleen naatriumkloriid 0.9% 3 mg/ml 4°C kaitsta valguse eest
24 Tund
1067
Tõenduspõhisuse tase C

polüetüleen glükoos 5% 3 mg/ml 22°C kaitsta valguse eest
24 Tund
1067
Tõenduspõhisuse tase C

polüetüleen glükoos 5% 3 mg/ml 4°C kaitsta valguse eest
24 Tund
1067
Tõenduspõhisuse tase C

etüleen vinüülatsetaat naatriumkloriid 0.9% 6 & 12 mg/ml 23°C kaitsta valguse eest
7 päev
1815
Tõenduspõhisuse tase A+

etüleen vinüülatsetaat naatriumkloriid 0.9% 6 & 12 mg/ml 4°C kaitsta valguse eest
30 päev
1815
Tõenduspõhisuse tase A+

süstal  polüpropüleenist naatriumkloriid 0.9% 150 mg/ml 22°C-23°C valgus
48 Tund
639
Tõenduspõhisuse tase D

süstal  polüpropüleenist naatriumkloriid 0.9% 60 mg/ml 25°C valgus
48 Tund
644
Tõenduspõhisuse tase B

Polüisopreenist elastomeer naatriumkloriid 0.9% 2 & 12 mg/ml 25°C pole täpsustatud
24 Tund
604
Tootja info stabiilsuse kohta

Polüisopreenist elastomeer naatriumkloriid 0.9% 2 & 12 mg/ml 4°C kaitsta valguse eest
10 päev
604
Tootja info stabiilsuse kohta

pole täpsustatud naatriumkloriid 0.9% 9,5 mg/ml 2-8°C pole täpsustatud
49 päev
4622
Tõenduspõhisuse tase A+

pole täpsustatud naatriumkloriid 0.9% 9,5 mg/ml 25°C pole täpsustatud
24 Tund
4622
Tõenduspõhisuse tase A+

pole täpsustatud glükoos 5% 9,5 mg/ml 2-8°C pole täpsustatud
47 päev
4619
Tõenduspõhisuse tase A+

pole täpsustatud glükoos 5% 9,5 mg/ml 25°C pole täpsustatud
24 Tund
4619
Tõenduspõhisuse tase A+


  Mentions Légales