Последно актуализиране :
27/01/2026
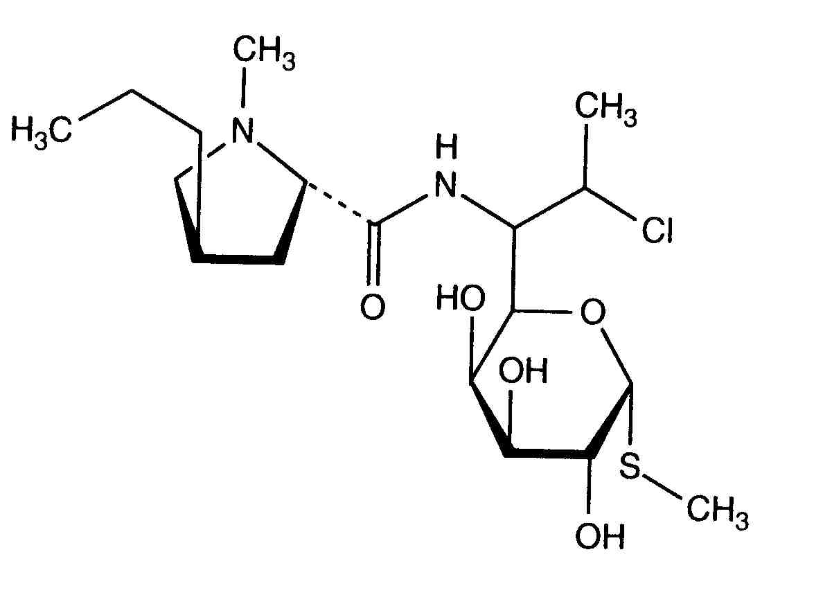
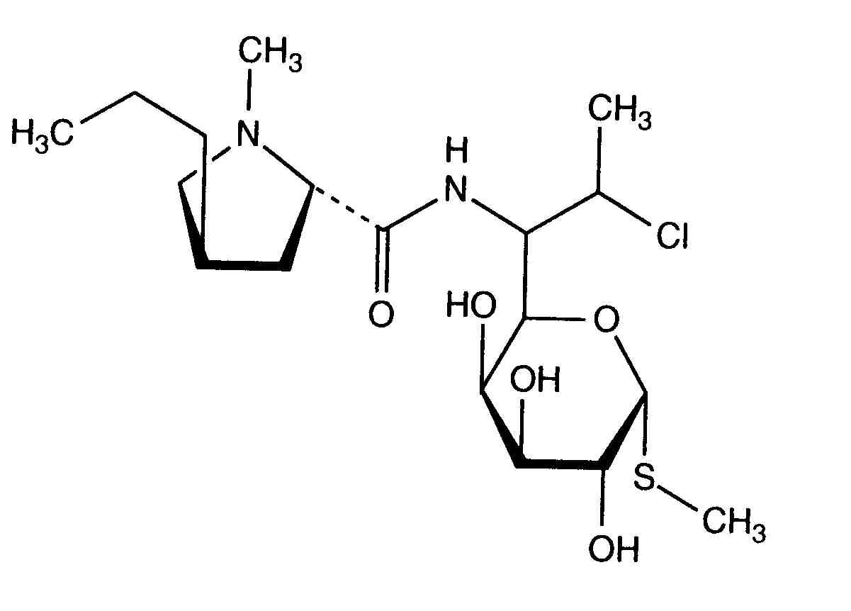
Антибиотик   Clindamycin phosphate  
Инжекция/Инжекционен
Стабилност на разтвори Стабилност на смеси Фактори, повлияващи стабилността Съвместимост Път на въвеждане Библиография Pdf
   Химична структура  

Търговско наименование   Търговско наименование     

Търговските имена са примерни и съставът на помощните вещества може да бъде различен в зависимост от държавата и лабораториите

Biodaclin Мексико
Camyda Индия
Cinbiot Мексико
Cleocin Австрия, Съединени Американски щати / САЩ, Турция
Clinamsa Мексико
Clinbac Колумбия, Перу
Clincina Португалия
Clinda-Saar Германия
Clindacid Венецуела
Clindacin Малайзия
Clindalaf Аржентина
Clindamicina Аржентина, Бразилия, Венецуела, Еквадор, Испания, Италия, Колумбия, Мексико, Перу, Португалия, Чили
Clindamycin Австрия, Германия, Иран, Канада, Норвегия, Румъния, Саудитска Арабия, Съединени Американски щати / САЩ, Швеция
Clindamycin-Hameln Германия
Clindamycine Белгия, Тунис, Франция, Холандия
Clindanovag Аржентина
Clindarix Бразилия
Clindasol Германия
Clindaval Венецуела
Clindazyn Мексико
Clindo Полша
Clysvic Мексико
Daclin Чили
Dalacin Австралия, Белгия, Великобритания, Венецуела, Гърция, Дания, Египет, Еквадор, Индия, Иран, Ирландия, Исландия, Италия, Канада, Колумбия, Люксенбург, Малайзия, Мексико, нова Зеландия, Норвегия, Обединени арабски емирства, Полша, Саудитска Арабия, Тунис, Унгария, Финландия, Холандия, Чили, Швейцария, Швеция
Dalacine Тунис, Франция
Daladic Иран
Dalcinex Индия
Damclid Индия
Damicin Колумбия, Мексико
Damicine Колумбия
Dolarclin Колумбия
Euroclin Еквадор, Колумбия
Gynasafe Индия
Indamid Мексико
Klimicin Полша
Klindan Турция
Klindaver Турция
Lanacine Австрия
Lincocin Малайзия
Lincosa Малайзия
Meneklin Турция
Sobelin Германия
Tidact Малайзия
Стабилност на разтвори   Инжекция/Инжекционен   Стабилност на разтвори : Clindamycin phosphate     
Контейнер Разтворител Концентрация Температура Съхранение Продължителност на стабилността Библиография
Стъкло Вода за инжекции 15 mg/ml 22°C Защита от светлина
91 Ден
80
Степен на доказаност C

Стъкло Вода за инжекции 15 mg/ml 4°C Защита от светлина
91 Ден
80
Степен на доказаност C

Стъкло Sodium chloride 0,9% 6 , 9 & 12 mg/ml -10°C Защита от светлина
56 Ден
566

Стъкло Sodium chloride 0,9% 6 , 9 & 12 mg/ml 25°C Не е уточнено
16 Ден
566

Стъкло Sodium chloride 0,9% 6 , 9 & 12 mg/ml 4°C Защита от светлина
32 Ден
566

Стъкло Sodium chloride 0,9% 9 mg/ml 24°C Светлина
24 Час
421
Жокер

Стъкло Sodium chloride 0,9% 9 mg/ml 25°C Светлина
48 Час
418
Степен на доказаност D

Стъкло Sodium chloride 0,9% 9 mg/ml 25°C Не е уточнено
48 Час
565
Степен на доказаност D

Стъкло Sodium chloride 0,9% 9 & 12 mg/ml 25°C Светлина
48 Час
432
Степен на доказаност D

Стъкло Glucose 5% 6 , 9 & 12 mg/ml -10°C Защита от светлина
56 Ден
566

Стъкло Glucose 5% 6 , 9 & 12 mg/ml 25°C Не е уточнено
16 Ден
566

Стъкло Glucose 5% 6 , 9 & 12 mg/ml 4°C Защита от светлина
32 Ден
566

Стъкло Glucose 5% 9 mg/ml 24°C Светлина
24 Час
421
Жокер

Стъкло Glucose 5% 9 mg/ml 25°C Светлина
48 Час
418
Степен на доказаност D

Стъкло Glucose 5% 9 mg/ml 25°C Не е уточнено
48 Час
565
Степен на доказаност D

Стъкло Glucose 5% 9 & 12 mg/ml 25°C Светлина
48 Час
432
Степен на доказаност D

Поливинил хлорид Sodium chloride 0,9% 6 , 9 & 12 mg/ml -10°C Защита от светлина
56 Ден
566

Поливинил хлорид Sodium chloride 0,9% 6 , 9 & 12 mg/ml 25°C Не е уточнено
16 Ден
566

Поливинил хлорид Sodium chloride 0,9% 6 , 9 & 12 mg/ml 4°C Защита от светлина
32 Ден
566

Поливинил хлорид Sodium chloride 0,9% 6 & 12 mg/ml -10°C Защита от светлина
68 Ден
567
Степен на доказаност A

Поливинил хлорид Sodium chloride 0,9% 6 & 12 mg/ml 25°C Не е уточнено
22 Ден
567
Степен на доказаност A

Поливинил хлорид Sodium chloride 0,9% 6 & 12 mg/ml 5°C Защита от светлина
54 Ден
567
Степен на доказаност A

Поливинил хлорид Sodium chloride 0,9% 9 mg/ml -20°C Защита от светлина
28 Ден
565
Степен на доказаност D

Поливинил хлорид Sodium chloride 0,9% 9 mg/ml 24°C Светлина
24 Час
421
Жокер

Поливинил хлорид Glucose 5% 6 mg/ml -20°C Защита от светлина
30 Ден
575
Биологичен анализ

Поливинил хлорид Glucose 5% 6 , 9 & 12 mg/ml -10°C Защита от светлина
56 Ден
566

Поливинил хлорид Glucose 5% 6 , 9 & 12 mg/ml 25°C Не е уточнено
16 Ден
566

Поливинил хлорид Glucose 5% 6 , 9 & 12 mg/ml 4°C Защита от светлина
32 Ден
566

Поливинил хлорид Glucose 5% 6 & 12 mg/ml -10°C Защита от светлина
68 Ден
567
Степен на доказаност A

Поливинил хлорид Glucose 5% 6 & 12 mg/ml 25°C Не е уточнено
22 Ден
567
Степен на доказаност A

Поливинил хлорид Glucose 5% 6 & 12 mg/ml 5°C Защита от светлина
54 Ден
567
Степен на доказаност A

Поливинил хлорид Glucose 5% 9 mg/ml -20°C Защита от светлина
28 Ден
565
Степен на доказаност D

Поливинил хлорид Glucose 5% 9 mg/ml 24°C Светлина
24 Час
421
Жокер

Полиетилен Sodium chloride 0,9% 3 mg/ml 22°C Защита от светлина
24 Час
1067
Степен на доказаност C

Полиетилен Sodium chloride 0,9% 3 mg/ml 4°C Защита от светлина
24 Час
1067
Степен на доказаност C

Полиетилен Glucose 5% 3 mg/ml 22°C Защита от светлина
24 Час
1067
Степен на доказаност C

Полиетилен Glucose 5% 3 mg/ml 4°C Защита от светлина
24 Час
1067
Степен на доказаност C

Етилен винил ацетат Sodium chloride 0,9% 6 & 12 mg/ml 23°C Защита от светлина
7 Ден
1815
Степен на доказаност A+

Етилен винил ацетат Sodium chloride 0,9% 6 & 12 mg/ml 4°C Защита от светлина
30 Ден
1815
Степен на доказаност A+

шприц полипропилен Sodium chloride 0,9% 150 mg/ml 22°C-23°C Светлина
48 Час
639
Степен на доказаност D

шприц полипропилен Sodium chloride 0,9% 60 mg/ml 25°C Светлина
48 Час
644
Степен на доказаност B

Полиизопренов еластомер Sodium chloride 0,9% 2 & 12 mg/ml 25°C Не е уточнено
24 Час
604
Данни за стабилност на производителя

Полиизопренов еластомер Sodium chloride 0,9% 2 & 12 mg/ml 4°C Защита от светлина
10 Ден
604
Данни за стабилност на производителя

Не е уточнено Sodium chloride 0,9% 9,5 mg/ml 2-8°C Не е уточнено
49 Ден
4622
Степен на доказаност A+

Не е уточнено Sodium chloride 0,9% 9,5 mg/ml 25°C Не е уточнено
24 Час
4622
Степен на доказаност A+

Не е уточнено Glucose 5% 9,5 mg/ml 2-8°C Не е уточнено
47 Ден
4619
Степен на доказаност A+

Не е уточнено Glucose 5% 9,5 mg/ml 25°C Не е уточнено
24 Час
4619
Степен на доказаност A+


  Mentions Légales