Cập nhật lần cuối :
18/03/2026
Kháng sinh   Clindamycin phosphate  
Dạng tiêm
Tính ổn định của các dung dịch Độ ổn định khi trộn lẫn Những yếu tố ảnh hưởng đến độ ổn định Khả năng tương thích Đường dùng Tài liệu tham khảo Pdf
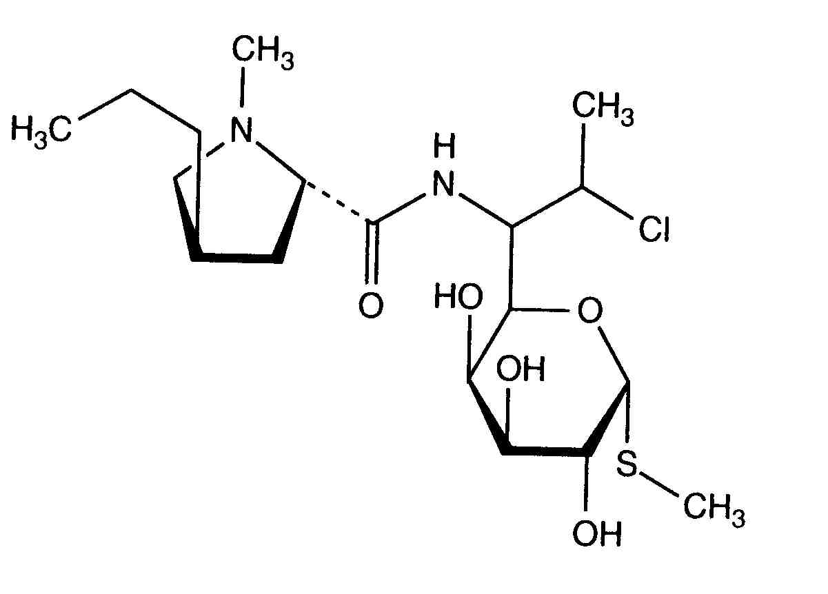
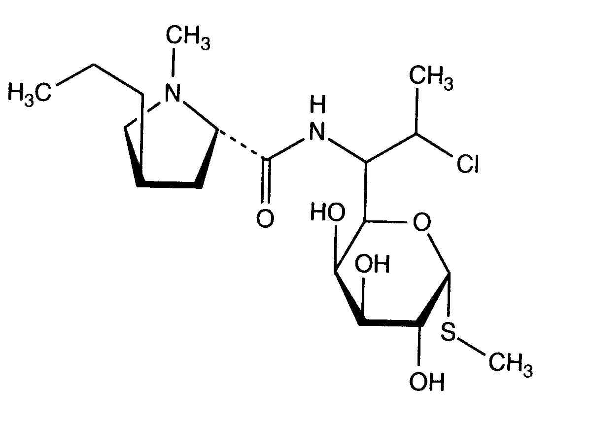
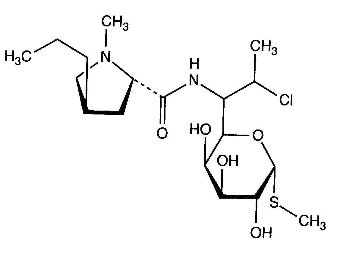
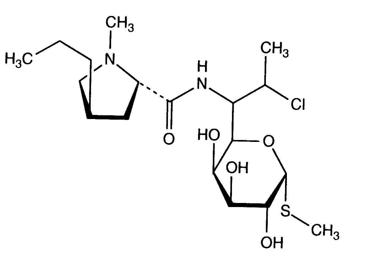
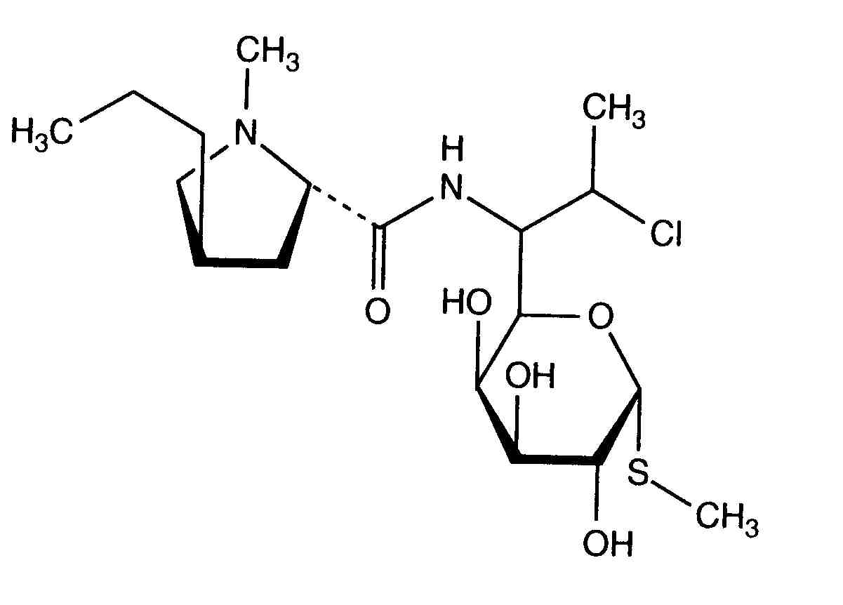
   Cấu trúc hóa học  

Tên thương mại   Tên thương mại     

Các tên thương mại được cung cấp và thành phần tá dược có thể khác nhau giữa các quốc gia và các hãng dược

Biodaclin Mexico
Camyda Ấn Độ
Cinbiot Mexico
Cleocin Áo, Hoa Kỳ, Thổ Nhĩ Kỳ
Clinamsa Mexico
Clinbac Colombia, Peru
Clincina Bồ Đào Nha
Clinda-Saar Đức
Clindacid Venezuela
Clindacin Malaysia
Clindalaf Argentina
Clindamicina Argentina, Bồ Đào Nha, Brazil, Chile, Colombia, Ecuador, Mexico, Peru, Tây Ban Nha, Venezuela, Ý
Clindamycin Ả Rập Saudi, Áo, Canada, Hoa Kỳ, Iran, Na Uy, Romania, Thụy Điển, Đức
Clindamycin-Hameln Đức
Clindamycine Bỉ, Hà Lan, Pháp, Tunisia
Clindanovag Argentina
Clindarix Brazil
Clindasol Đức
Clindaval Venezuela
Clindazyn Mexico
Clindo Ba Lan
Clysvic Mexico
Daclin Chile
Dalacin Ả Rập, Ả Rập Saudi, Ấn Độ, Anh, Ba Lan, Bỉ, Canada, Chile, Colombia, Ecuador, Hà Lan, Hungary, Hy Lạp, Iceland, Iran, Ireland, Luxembourg, Malaysia, Mexico, Na Uy, new zealand, Phần Lan, Thụy Sỹ, Thụy Điển, Tunisia, Úc, United Arab Emirates, Venezuela, Ý, Đan Mạch
Dalacine Pháp, Tunisia
Daladic Iran
Dalcinex Ấn Độ
Damclid Ấn Độ
Damicin Colombia, Mexico
Damicine Colombia
Dolarclin Colombia
Euroclin Colombia, Ecuador
Gynasafe Ấn Độ
Indamid Mexico
Klimicin Ba Lan
Klindan Thổ Nhĩ Kỳ
Klindaver Thổ Nhĩ Kỳ
Lanacine Áo
Lincocin Malaysia
Lincosa Malaysia
Meneklin Thổ Nhĩ Kỳ
Sobelin Đức
Tidact Malaysia
Đường dùng   Đường dùng :Clindamycin phosphate     
Đường dùng
Truyền tĩnh mạch
Truyền liên tục
Tiêm bắp

  Mentions Légales