Последнее обновление :
18/03/2026
Антибиотик   Clindamycin phosphate  
Инъекция
Стабильность растворов Стабильность смесей Факторы, которые влияют на стабильность Совместимость Способы введения Библиография pdf
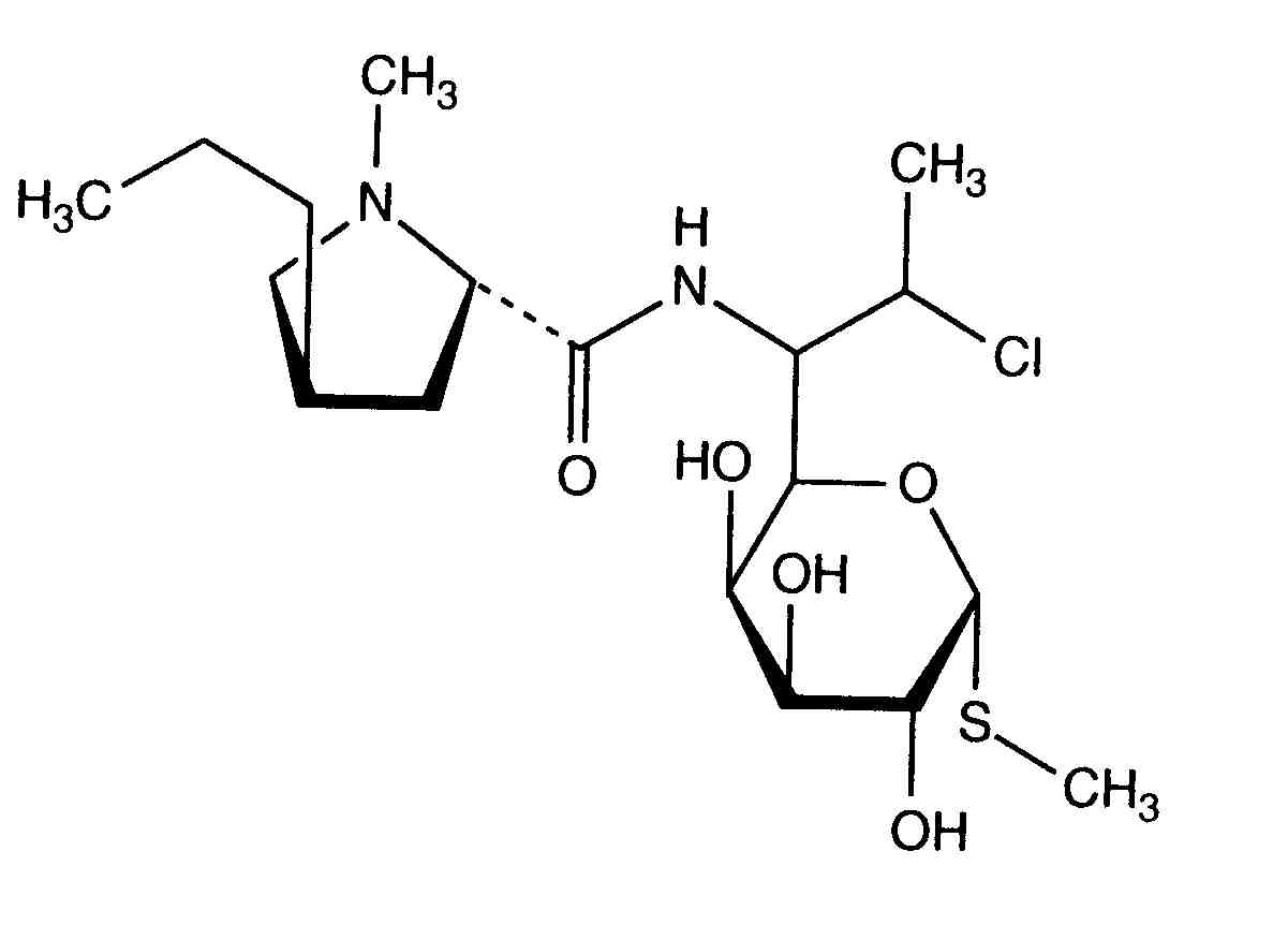
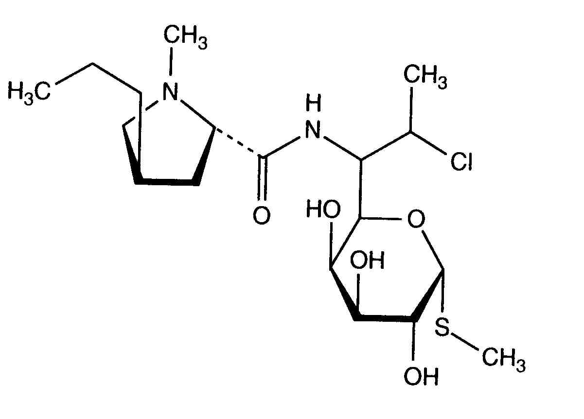
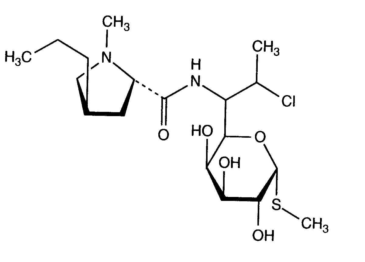
   Химическая структура  

Товарное название   Товарное название     

Trade names are indicative and excipients composition can be different depending on the country and manufacturers

Biodaclin Мексика
Camyda Индия
Cinbiot Мексика
Cleocin Австрия, Соединённые Штаты Америки, Турция
Clinamsa Мексика
Clinbac Колумбия, Перу
Clincina Португалия
Clinda-Saar Германия
Clindacid Венесуэла
Clindacin Малайзия
Clindalaf Аргентина
Clindamicina Аргентина, Бразилия, Венесуэла, Испания, Италия, Колумбия, Мексика, Перу, Португалия, чили, Эквадор
Clindamycin Австрия, Германия, Иран, Канада, Норвегия, Румыния, Саудовская Аравия, Соединённые Штаты Америки, Швеция
Clindamycin-Hameln Германия
Clindamycine Бельгия, Голландия, Тунис, Франция
Clindanovag Аргентина
Clindarix Бразилия
Clindasol Германия
Clindaval Венесуэла
Clindazyn Мексика
Clindo Польша
Clysvic Мексика
Daclin чили
Dalacin Австралия, Бельгия, Великобритания, Венгрия, Венесуэла, Голландия, Греция, Дания, Египет, Индия, Иран, Ирландия, Исландия, Италия, Канада, Колумбия, Люксембург, Малайзия, Мексика, новая Зеландия, Норвегия, Объединенные Арабские Эмираты, Польша, Саудовская Аравия, Тунис, Финляндия, чили, Швейцария, Швеция, Эквадор
Dalacine Тунис, Франция
Daladic Иран
Dalcinex Индия
Damclid Индия
Damicin Колумбия, Мексика
Damicine Колумбия
Dolarclin Колумбия
Euroclin Колумбия, Эквадор
Gynasafe Индия
Indamid Мексика
Klimicin Польша
Klindan Турция
Klindaver Турция
Lanacine Австрия
Lincocin Малайзия
Lincosa Малайзия
Meneklin Турция
Sobelin Германия
Tidact Малайзия
Способы введения   Способы введения :Clindamycin phosphate     
Voie
Интравенная, внутривенная инфузия
Постоянная инфузия
Внутримышечный

  Mentions Légales