Posledná aktualizácia :
18/03/2026
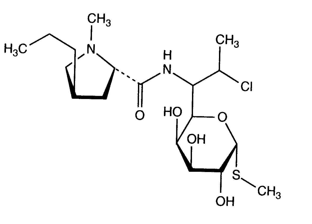
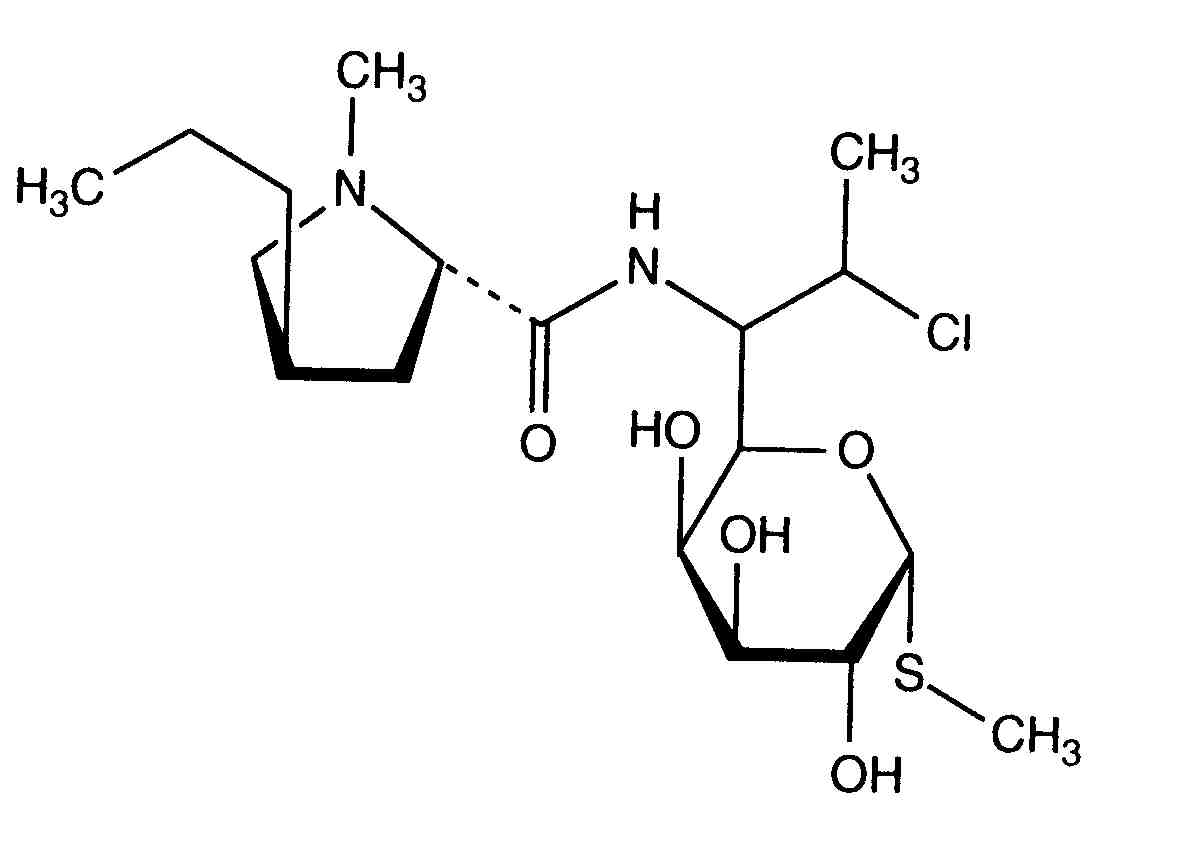
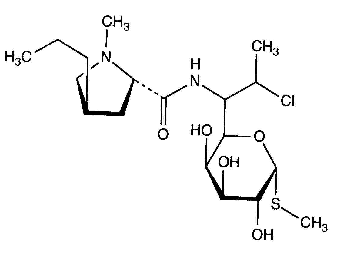
antibiotikum   Clindamycin phosphate  
Injekcia
Stabilita roztokov Stabilita v zmesiach Faktory ovplyvňujúce stabilitu Kompatibility spôsob podania Odkazy na literatúru PDF
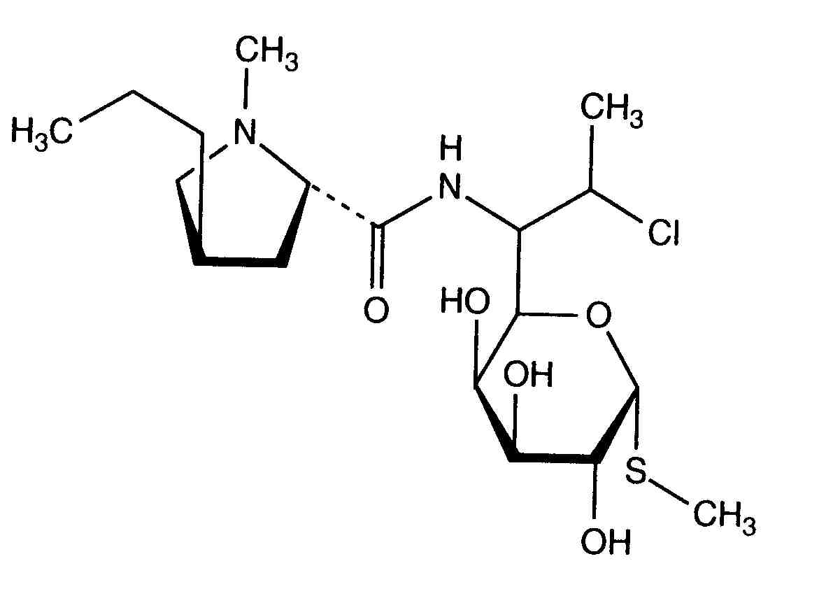
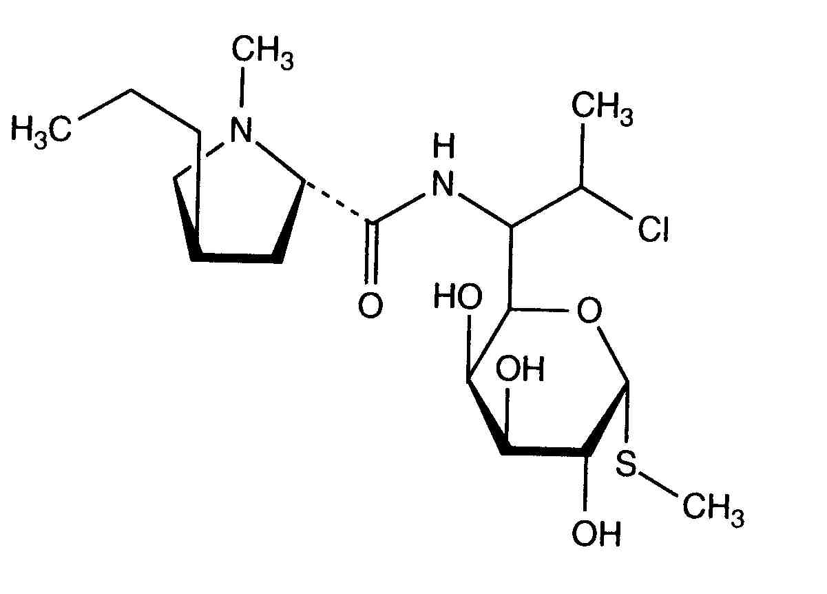
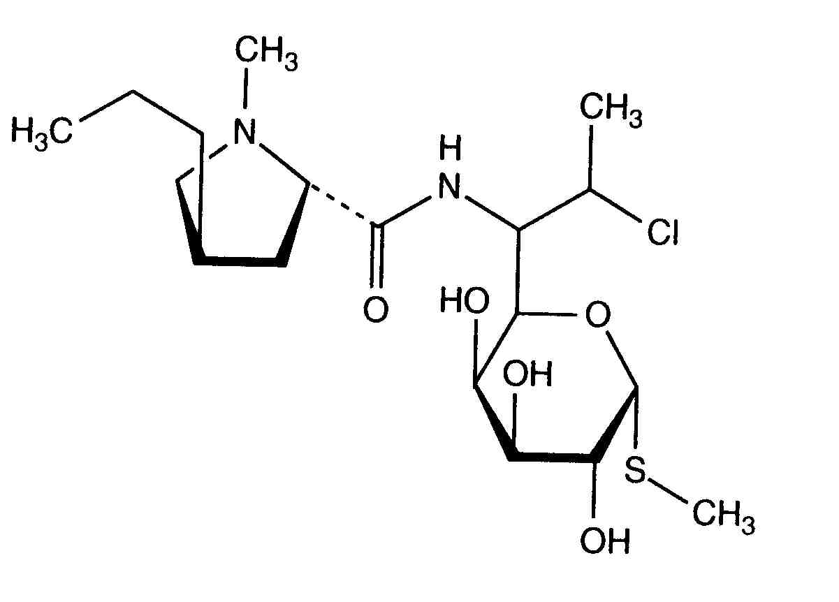
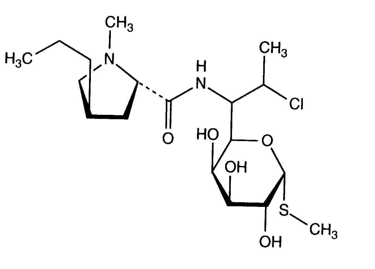
   Chemický vzorec  

Obchodný názov   Obchodný názov     

Obchodné názvy sú orientačné, a zloženie pomocných látok sa môže líšiť v závislosti od krajiny a výrobcu.

Biodaclin Mexiko
Camyda India
Cinbiot Mexiko
Cleocin Rakúsko, Spojené štáty Americké, Turecko
Clinamsa Mexiko
Clinbac Kolumbia, peru
Clincina Portugalsko
Clinda-Saar Nemecko
Clindacid Venezuela
Clindacin Malajzia
Clindalaf Argentína
Clindamicina Argentína, Brazília, Čile, Ekvádor, Kolumbia, Mexiko, peru, Portugalsko, Španielsko, Taliansko, Venezuela
Clindamycin Irán, Kanada, Nemecko, Nórsko, Rakúsko, Rumunsko, Saudská Arábia, Spojené štáty Americké, Švédsko
Clindamycin-Hameln Nemecko
Clindamycine Belgicko, Francúzsko, Holandsko, Tunisko
Clindanovag Argentína
Clindarix Brazília
Clindasol Nemecko
Clindaval Venezuela
Clindazyn Mexiko
Clindo Poľsko
Clysvic Mexiko
Daclin Čile
Dalacin Austrália, Belgicko, Čile, Dánsko, Egypt, Ekvádor, Fínsko, Grécko, Holandsko, India, Irán, Írsko, Island, Kanada, Kolumbia, Luxembursko, Maďarsko, Malajzia, Mexiko, Nórsko, nový Zéland, Poľsko, Saudská Arábia, Spojené arabské emiráty, Švajčiarsko, Švédsko, Taliansko, Tunisko, Veľká Británia, Venezuela
Dalacine Francúzsko, Tunisko
Daladic Irán
Dalcinex India
Damclid India
Damicin Kolumbia, Mexiko
Damicine Kolumbia
Dolarclin Kolumbia
Euroclin Ekvádor, Kolumbia
Gynasafe India
Indamid Mexiko
Klimicin Poľsko
Klindan Turecko
Klindaver Turecko
Lanacine Rakúsko
Lincocin Malajzia
Lincosa Malajzia
Meneklin Turecko
Sobelin Nemecko
Tidact Malajzia
spôsob podania   spôsob podania :Clindamycin phosphate     
Voie
intravenózna infúzia
kontinuálna infúzia
intramuskulárne

  Mentions Légales