Pēdējā atjaunošana :
18/03/2026
Antibiotika   Clindamycin phosphate  
Injekcija
Šķīduma stabilitāte Maisījuma stabilitāte Stabilitāti ietekmējoši faktori Saderība Levadīšanas veids Literatūras saraksts pdf
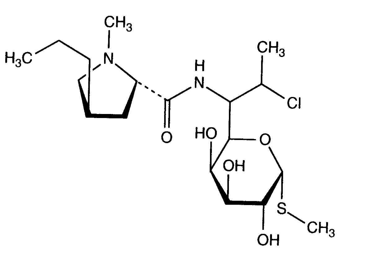
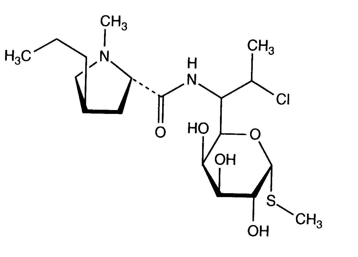
   Ķīmiskā uzbūve   

Oriģinālais nosaukums   Oriģinālais nosaukums     

Tirdzniecības nosaukumi ir apzīmējoši un palīgvielas var atšķirties dažādām valstīm un laboratorijām

Biodaclin Meksika
Camyda Indija
Cinbiot Meksika
Cleocin Amerikas Savienotās Valstis, Austrija, Turcija
Clinamsa Meksika
Clinbac Kolumbija, Peru
Clincina Portugāle
Clinda-Saar Vācija
Clindacid Venecuēla
Clindacin Malaizija
Clindalaf Argentīna
Clindamicina Argentīna, Brazīlija, Čīle, Ekvadora, Itālija, Kolumbija, Meksika, Peru, Portugāle, Spānija, Venecuēla
Clindamycin Amerikas Savienotās Valstis, Austrija, Irāna, Kanāda, Norvēģija, Rumānija, Saūda Arābija, Vācija, Zviedrija
Clindamycin-Hameln Vācija
Clindamycine Beļģija, Francija, Holande, Tunisija
Clindanovag Argentīna
Clindarix Brazīlija
Clindasol Vācija
Clindaval Venecuēla
Clindazyn Meksika
Clindo Polija
Clysvic Meksika
Daclin Čīle
Dalacin Apvienotie Arābu Emirāti, Austrālija, Beļģija, Čīle, Dānija, Ēģipte, Ekvadora, Grieķija, Holande, Indija, Irāna, Īrija, Islande, Itālija, Jaunzēlande, Kanāda, Kolumbija, Lielbritānija, Luksemburga, Malaizija, Meksika, Norvēģija, Polija, Saūda Arābija, Somija, Šveice, Tunisija, Ungārija, Venecuēla, Zviedrija
Dalacine Francija, Tunisija
Daladic Irāna
Dalcinex Indija
Damclid Indija
Damicin Kolumbija, Meksika
Damicine Kolumbija
Dolarclin Kolumbija
Euroclin Ekvadora, Kolumbija
Gynasafe Indija
Indamid Meksika
Klimicin Polija
Klindan Turcija
Klindaver Turcija
Lanacine Austrija
Lincocin Malaizija
Lincosa Malaizija
Meneklin Turcija
Sobelin Vācija
Tidact Malaizija
Levadīšanas veids   Levadīšanas veids :Clindamycin phosphate     
Voie
Intravenoza infūzija
Ilgstoša  infūzija
Intramuskulāri

  Mentions Légales