Laatste update :
18/03/2026
Antibioticum   Clindamycin phosphate  
injecteerbaar geneesmiddel
Stabiliteit in oplossing Stabiliteit in mengsels Factoren die de stabiliteit beïnvloeden Verenigbaarheden Toedieningswijze Literatuur pdf
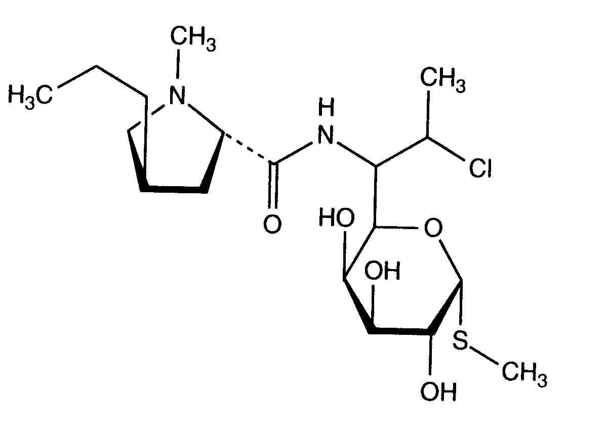
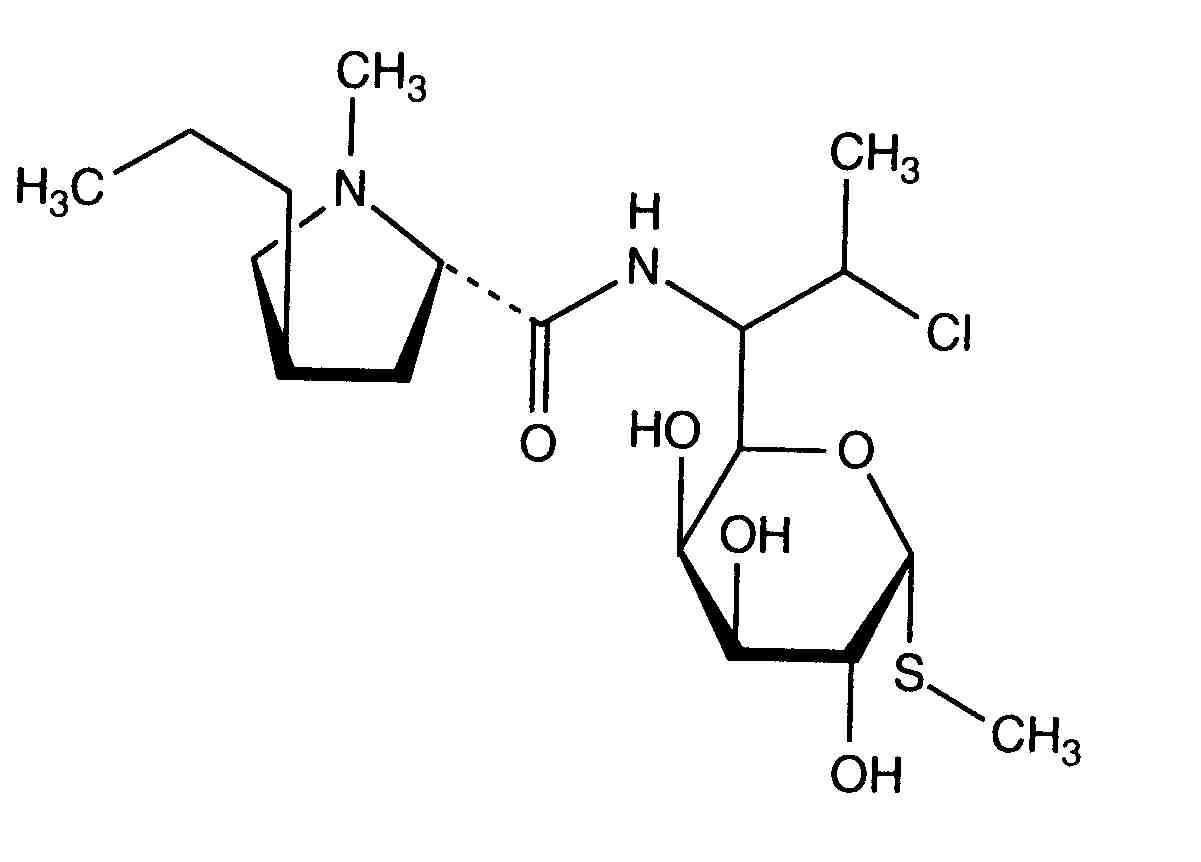
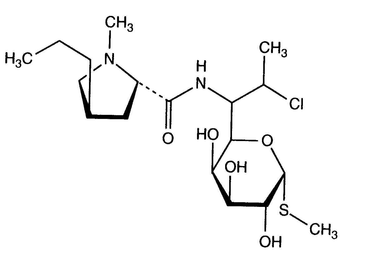
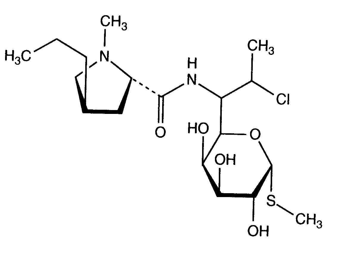
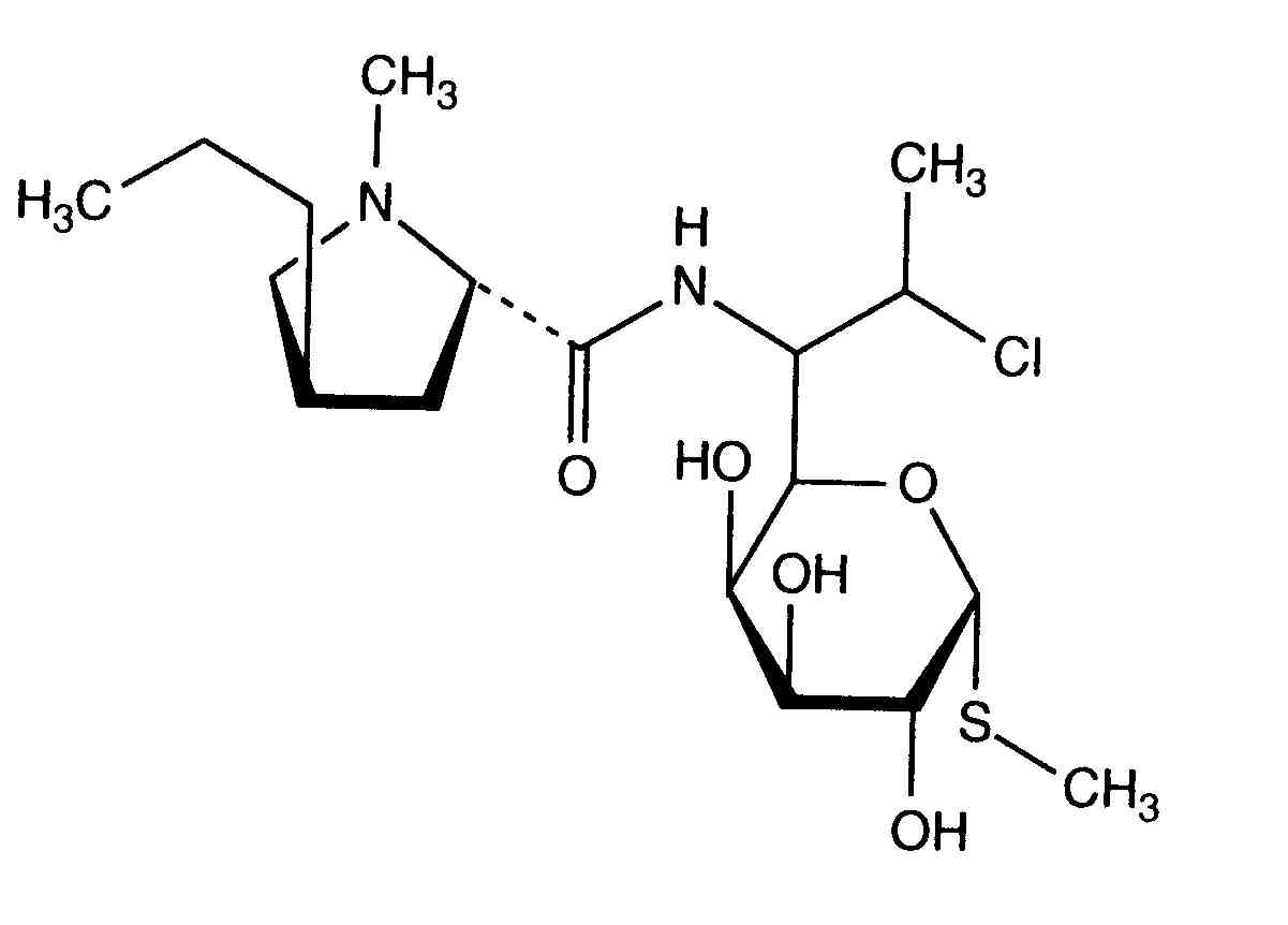
   Molecuulstructuur  

Merknamen in verschillende landen   Merknamen in verschillende landen     

Handelsnamen zijn slechts een indicatie; de samenstelling van hulpstoffen kan per land variëren afhankelijk van de fabrikant

Biodaclin Mexico
Camyda Indië
Cinbiot Mexico
Cleocin Oostenrijk, Turkije, USA
Clinamsa Mexico
Clinbac Colombia, Peru
Clincina Portugal
Clinda-Saar Duitsland
Clindacid Venezuela
Clindacin Maleisië
Clindalaf Argentinië
Clindamicina Argentinië, Brazilië, Chili, Colombia, Ecuador, Italië, Mexico, Peru, Portugal, Spanje, Venezuela
Clindamycin Canada, Duitsland, Iran, Noorwegen, Oostenrijk, Roemenië, Saudi-Arabië, USA, Zweden
Clindamycin-Hameln Duitsland
Clindamycine België, Frankrijk, Nederland, Tunisie
Clindanovag Argentinië
Clindarix Brazilië
Clindasol Duitsland
Clindaval Venezuela
Clindazyn Mexico
Clindo Polen
Clysvic Mexico
Daclin Chili
Dalacin Australië, België, Canada, Chili, Colombia, Denemarken, Ecuador, Egypte, Finland, Griekenland, Groot Britannië, Hongarije, Ierland, IJsland, Indië, Iran, Italië, Luxemburg, Maleisië, Mexico, Nederland, nieuw Zeeland, Noorwegen, Polen, Saudi-Arabië, Tunisie, Venezuela, Verenigde Arabische Emiraten, Zweden, Zwitserland
Dalacine Frankrijk, Tunisie
Daladic Iran
Dalcinex Indië
Damclid Indië
Damicin Colombia, Mexico
Damicine Colombia
Dolarclin Colombia
Euroclin Colombia, Ecuador
Gynasafe Indië
Indamid Mexico
Klimicin Polen
Klindan Turkije
Klindaver Turkije
Lanacine Oostenrijk
Lincocin Maleisië
Lincosa Maleisië
Meneklin Turkije
Sobelin Duitsland
Tidact Maleisië
Toedieningswijze   Toedieningswijze :Clindamycin phosphate     
Voie
Intraveneus infuus
Continu infuus
Intramusculair

  Mentions Légales