Seneste opdatering :
18/03/2026
Antibiotisk   Clindamycin phosphate  
Injektion
Stabilitet i (vandige) opløsninger Stabilitet i blandinger Faktorer der påvirker stabiliteten Kompatibilitet Administrationsvej Bibliografi pdf
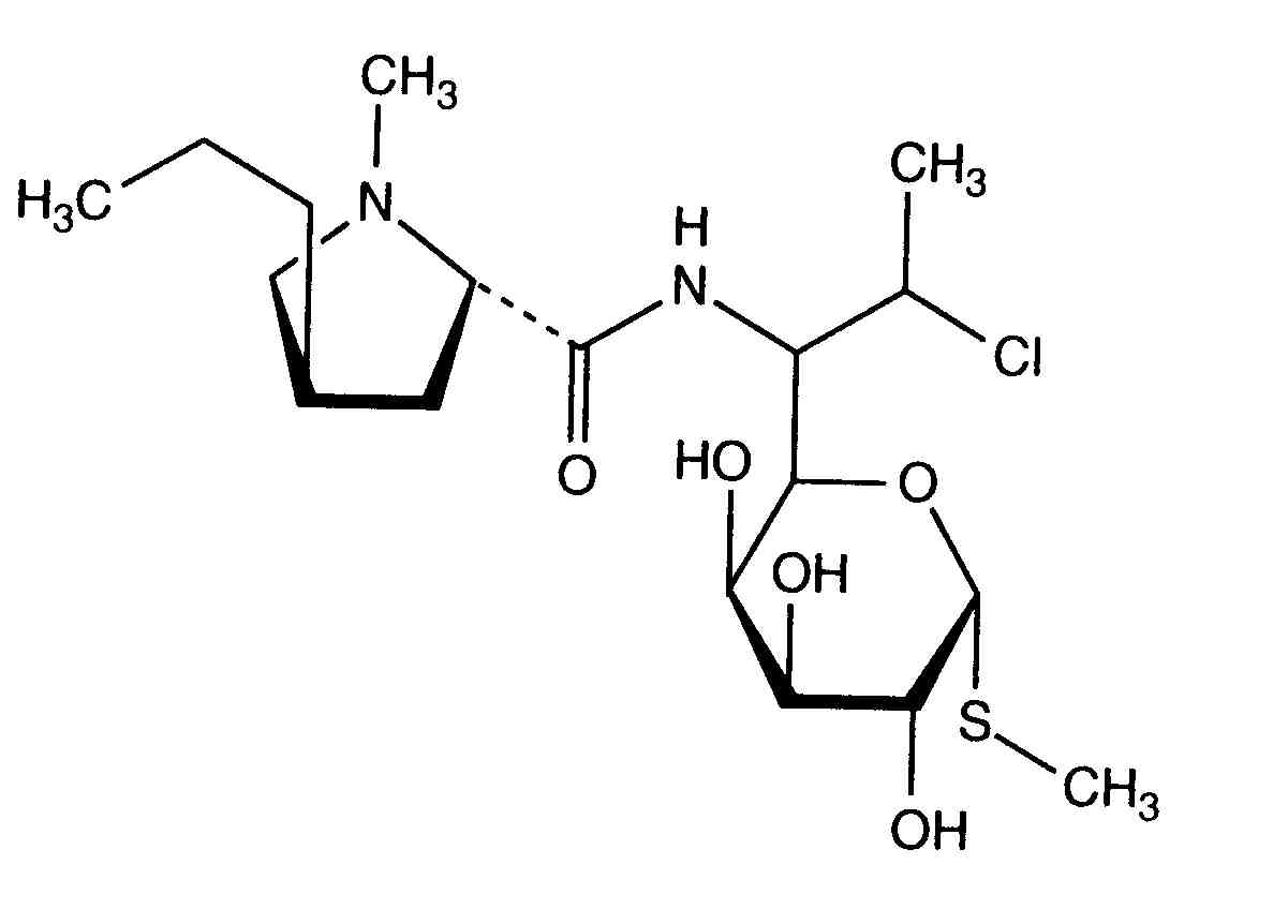
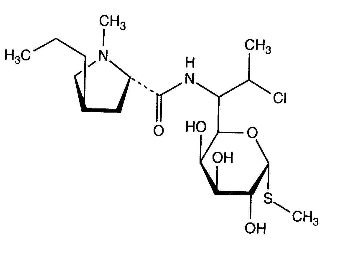
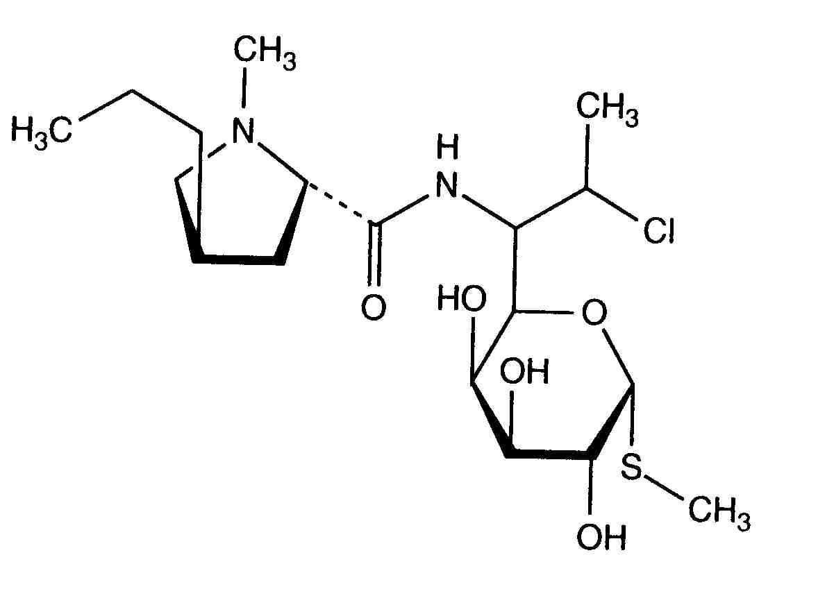
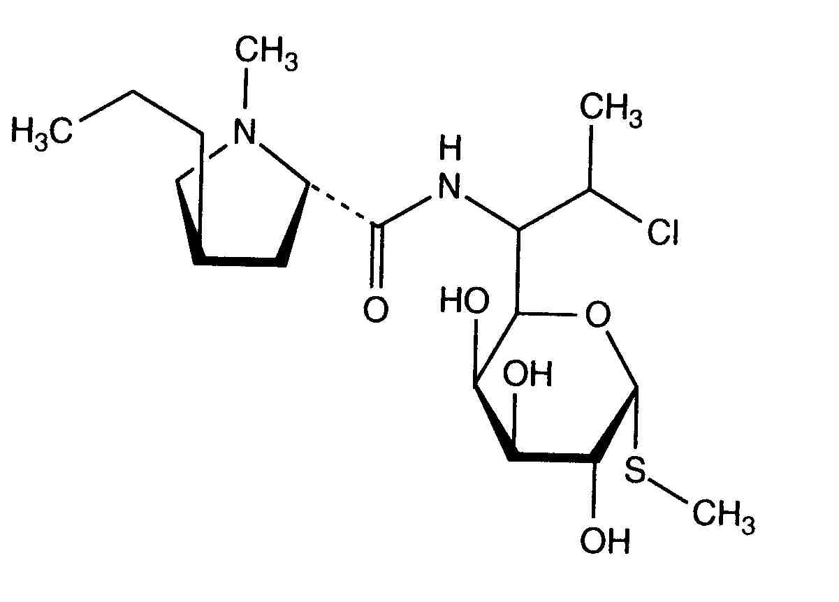
   Kemisk struktur  

Handelsnavn   Handelsnavn     

Handel navne er vejledende og hjælpestoffer sammensætning kan være forskellig afhængigt af landet og laboratorier

Biodaclin Mexico
Camyda Indien
Cinbiot Mexico
Cleocin Tyrkiet, USA, Østrig
Clinamsa Mexico
Clinbac Colombia, Marokko
Clincina Portugal
Clinda-Saar Tyskland
Clindacid Venezuela
Clindacin Malaysia
Clindalaf Argentina
Clindamicina Argentina, Brasilien, Chile, Colombia, Ecuador, Italien, Marokko, Mexico, Portugal, Spanien, Venezuela
Clindamycin Canada, Iran, Norge, Rumænien, Saudi-Arabien, Sverige, Tyskland, USA, Østrig
Clindamycin-Hameln Tyskland
Clindamycine Belgien, Frankrig, Holland, Tunesien
Clindanovag Argentina
Clindarix Brasilien
Clindasol Tyskland
Clindaval Venezuela
Clindazyn Mexico
Clindo Polen
Clysvic Mexico
Daclin Chile
Dalacin Australien, Belgien, Canada, Chile, Colombia, Danmark, Ecuador, Finland, Forenede Arabiske Emirater, Grækenland, Holland, Indien, Iran, Irland, Island, Italien, Luxemborg, Malaysia, Mexico, New Zealand, Norge, Polen, Saudi-Arabien, Schweiz, Storbritanien, Sverige, Tunesien, Ungarn, Venezuela, Ægypten
Dalacine Frankrig, Tunesien
Daladic Iran
Dalcinex Indien
Damclid Indien
Damicin Colombia, Mexico
Damicine Colombia
Dolarclin Colombia
Euroclin Colombia, Ecuador
Gynasafe Indien
Indamid Mexico
Klimicin Polen
Klindan Tyrkiet
Klindaver Tyrkiet
Lanacine Østrig
Lincocin Malaysia
Lincosa Malaysia
Meneklin Tyrkiet
Sobelin Tyskland
Tidact Malaysia
Administrationsvej   Administrationsvej :Clindamycin phosphate     
Voie
Intravenøs infusion
Kontinuert infusion
Intramuskulær

  Mentions Légales