viimane versioon :
18/03/2026
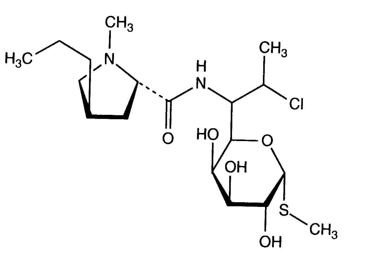
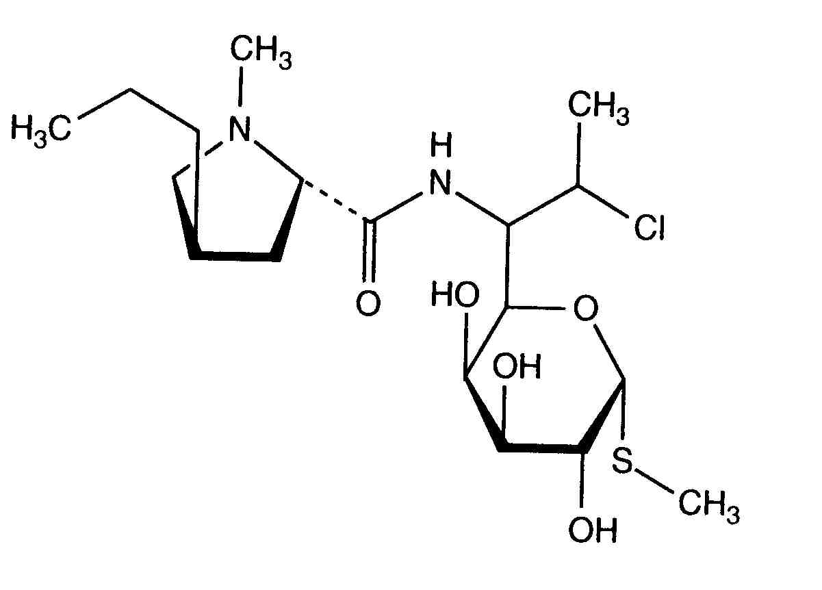
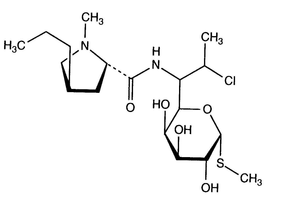
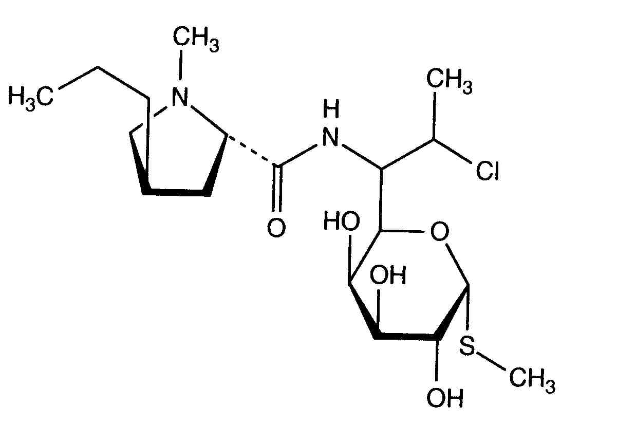
antibiootikum   Clindamycin phosphate  
Süsteravim
Stabiilsus lahustes Stabiilsust mõjutavad tegurid stabiilsust mõjutavad faktorid Sobimatus Manustamis viis Viited pdf
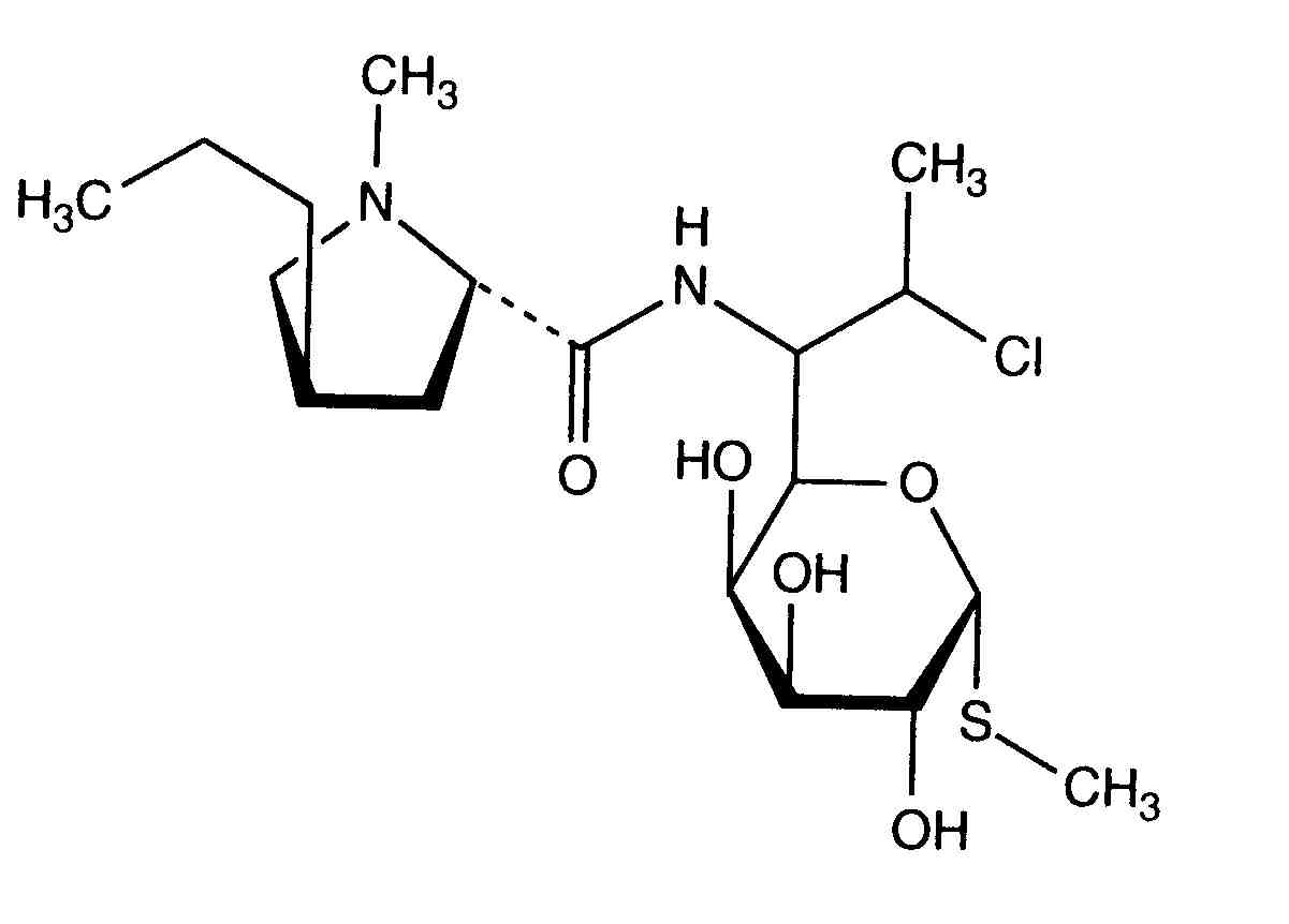
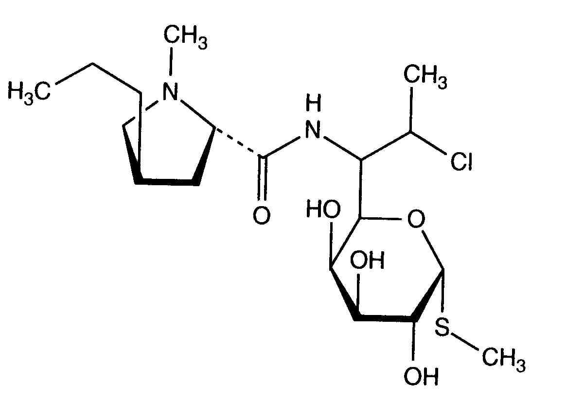
   keemiline struktuur  

Kaubanduslikud nimed erinevates maades   Kaubanduslikud nimed erinevates maades     

Preparaatide nimed on näitlikud ja abianete sisaldus võib erineda sõltuvalt riigist ja laborist

Biodaclin Mehhiko
Camyda India
Cinbiot Mehhiko
Cleocin Ameerika ühendriigid, Austria, Türgi
Clinamsa Mehhiko
Clinbac Kolumbia, Maroko
Clincina Portugal
Clinda-Saar Saksamaa
Clindacid Venetsueela
Clindacin Malaisia
Clindalaf Argentiina
Clindamicina Argentiina, Brasiilia, Ecuador, Hispaania, Itaalia, Kolumbia, Maroko, Mehhiko, Portugal, Tšiili, Venetsueela
Clindamycin Ameerika ühendriigid, Austria, Iraan, Kanada, Norra, Rootsi, Rumeenia, Saksamaa, Saudi Araabia
Clindamycin-Hameln Saksamaa
Clindamycine Belgia, Holland, Prantsusmaa, Tuneesia
Clindanovag Argentiina
Clindarix Brasiilia
Clindasol Saksamaa
Clindaval Venetsueela
Clindazyn Mehhiko
Clindo Poola
Clysvic Mehhiko
Daclin Tšiili
Dalacin Araabia Ühendemiraadid, Austraalia, Belgia, Ecuador, Egiptus, Holland, Iirimaa, India, Iraan, Island, Itaalia, Kanada, Kolumbia, Kreeka, Luksemburg, Malaisia, Mehhiko, Norra, Poola, Rootsi, Saudi Araabia, Soome, Suurbritannia, Sveits, Taani, Tšiili, Tuneesia, Ungari, uus-Meremaa, Venetsueela
Dalacine Prantsusmaa, Tuneesia
Daladic Iraan
Dalcinex India
Damclid India
Damicin Kolumbia, Mehhiko
Damicine Kolumbia
Dolarclin Kolumbia
Euroclin Ecuador, Kolumbia
Gynasafe India
Indamid Mehhiko
Klimicin Poola
Klindan Türgi
Klindaver Türgi
Lanacine Austria
Lincocin Malaisia
Lincosa Malaisia
Meneklin Türgi
Sobelin Saksamaa
Tidact Malaisia
Manustamis viis   Manustamis viis :Clindamycin phosphate     
Voie
intravenoosne infusioon
pidevinfusioon
intramuskulaarne

  Mentions Légales