Poslední aktualizace :
18/03/2026
Antibiotikum   Clindamycin phosphate  
injekce
Stabilita roztoků Stabilita směsí Faktory ovlivňující stabilitu Kompatibilita Způsoby aplikace Odkazy pdf
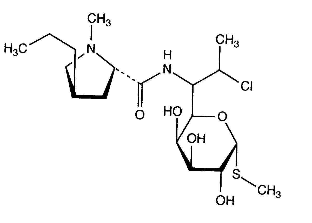
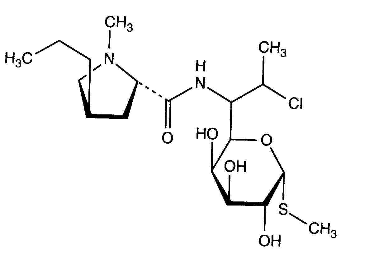
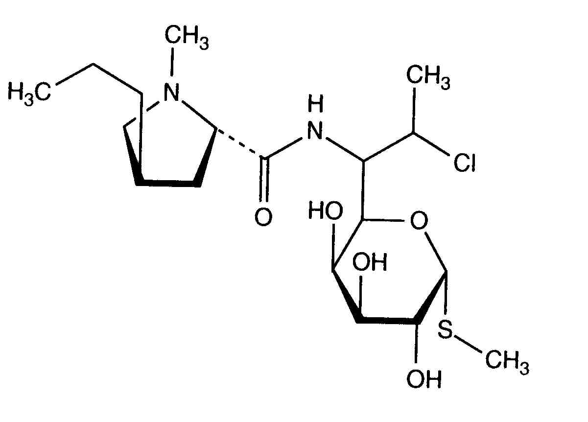
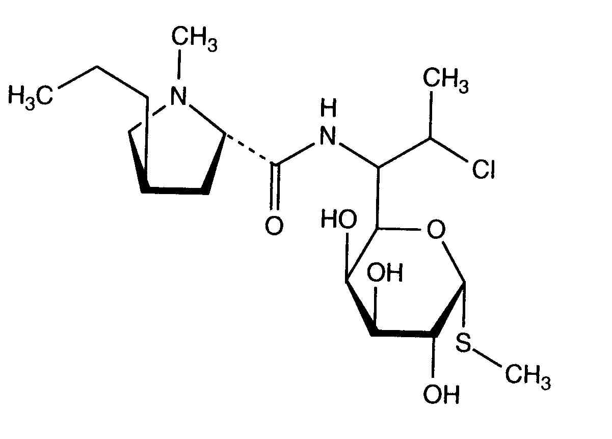
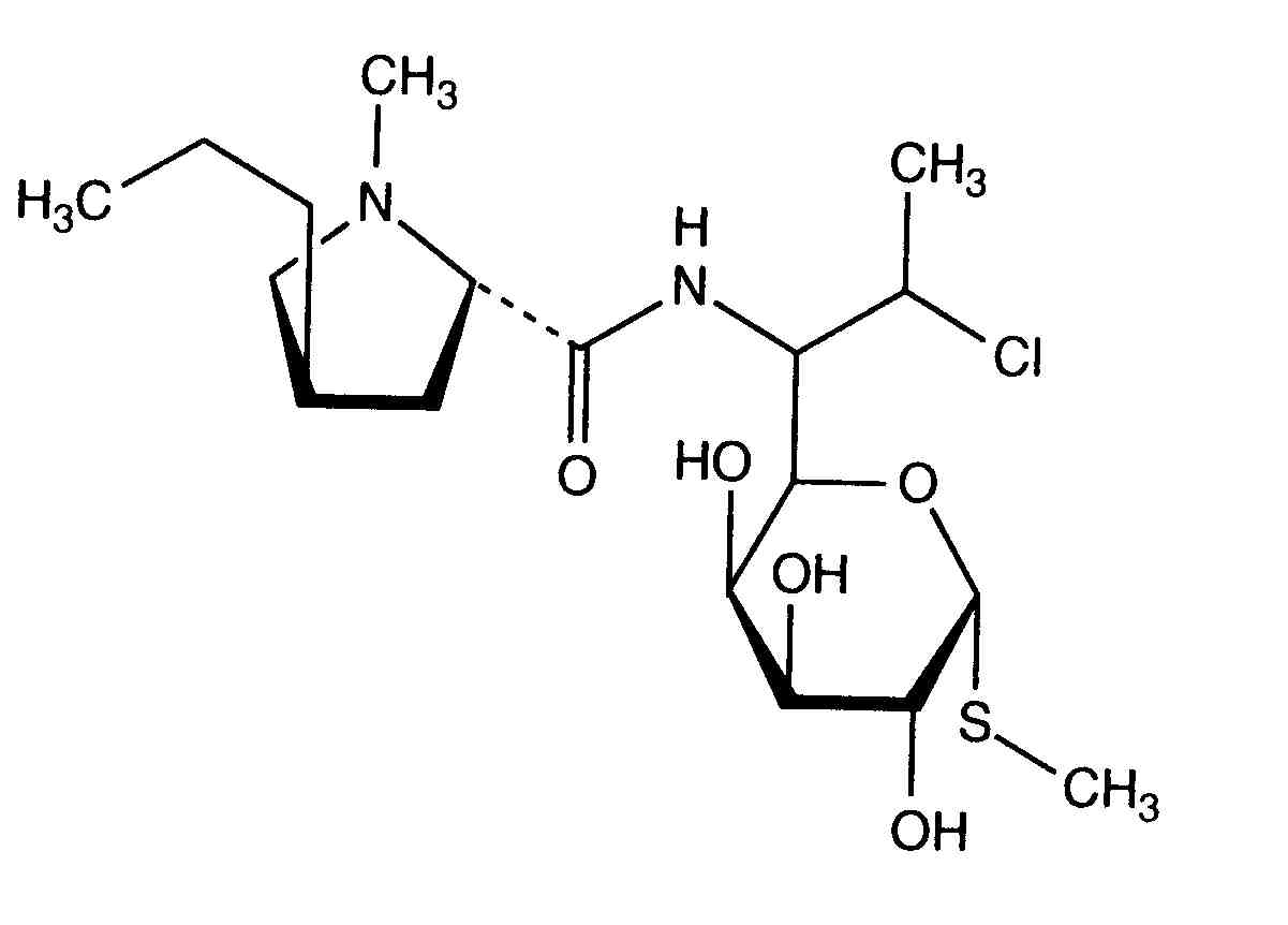
   Chemický vzorec  

Obchodní název   Obchodní název     

Trade names are indicative and excipients composition can be different depending on the country and manufacturers

Biodaclin Mexiko
Camyda Indie
Cinbiot Mexiko
Cleocin Rakousko, Turecko, USA
Clinamsa Mexiko
Clinbac Kolumbie, Peru
Clincina Portugalsko
Clinda-Saar NÏmecko
Clindacid Venezuela
Clindacin Malajsie
Clindalaf Argentina
Clindamicina äpanÏlsko, Argentina, BrazÌlie, Chile, Ekvádor, Itálie, Kolumbie, Mexiko, Peru, Portugalsko, Venezuela
Clindamycin Írán, Kanada, NÏmecko, Norsko, Rakousko, Rumunsko, Saúdská Arábie, Švédsko, USA
Clindamycin-Hameln NÏmecko
Clindamycine Belgie, Francie, Nizozemsko, Tunisko
Clindanovag Argentina
Clindarix BrazÌlie
Clindasol NÏmecko
Clindaval Venezuela
Clindazyn Mexiko
Clindo Polsko
Clysvic Mexiko
Daclin Chile
Dalacin Austrálie, Belgie, Chile, Dánsko, Egypt, Ekvádor, Finsko, Indie, Írán, Irsko, Island, Itálie, Kanada, Kolumbie, Lucembursko, Malajsie, MaÔarsko, Mexiko, Nizozemsko, Norsko, nový Zéland, Polsko, Saúdská Arábie, Spojené arabské emiráty, Švédsko, Švýcarsko, Tunisko, Velká Británie, Venezuela, ÿecko
Dalacine Francie, Tunisko
Daladic Írán
Dalcinex Indie
Damclid Indie
Damicin Kolumbie, Mexiko
Damicine Kolumbie
Dolarclin Kolumbie
Euroclin Ekvádor, Kolumbie
Gynasafe Indie
Indamid Mexiko
Klimicin Polsko
Klindan Turecko
Klindaver Turecko
Lanacine Rakousko
Lincocin Malajsie
Lincosa Malajsie
Meneklin Turecko
Sobelin NÏmecko
Tidact Malajsie
Způsoby aplikace   Způsoby aplikace :Clindamycin phosphate     
Voie
Intravenózní infúze
Kontinuální infúze
intramuskulárně

  Mentions Légales