Última actualização :
18/03/2026
antibiótico   Clindamycin phosphate  
injetável
Estabilidade em soluções simples Estabilidade em misturas Factores que afectam a sua estabilidade Compatibilidade Método de administração Bibliografía pdf
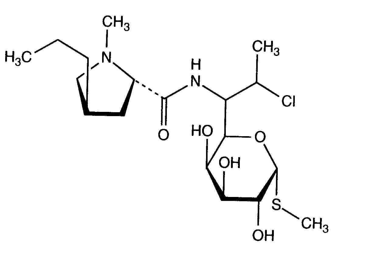
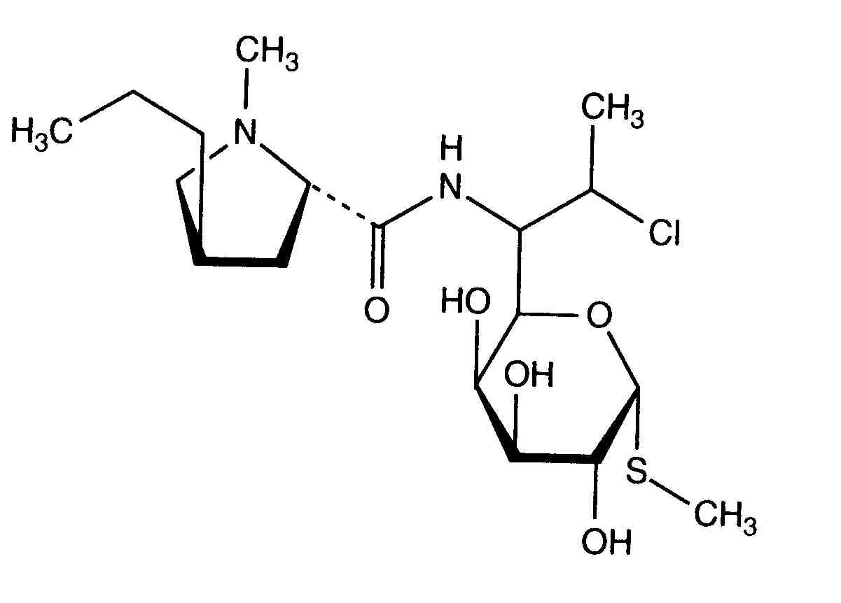
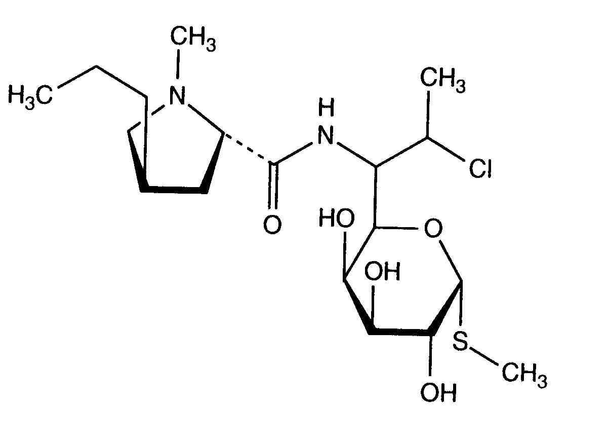
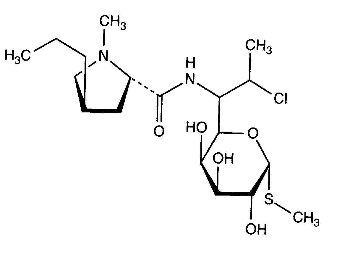
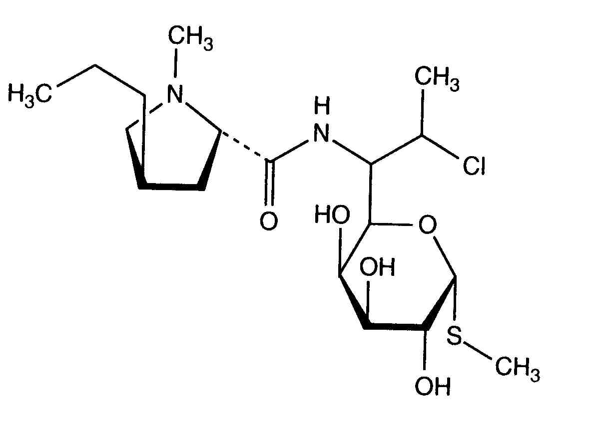
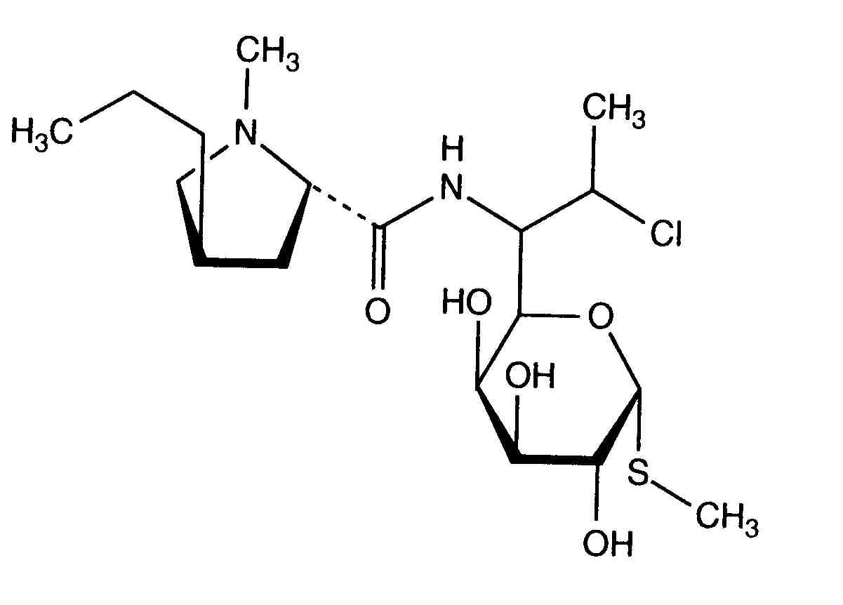
   estrutura química  

Nomes comerciais nos diversos países   Nomes comerciais nos diversos países     

OS NOMES COMERCIAIS SÃO INDICATIVOS E OS EXCIPIENTES DA FORMULAÇÃO PODEM SER DIFERENTES CONFORME O PAÍS E FABRICANTE.

Biodaclin México
Camyda Índia
Cinbiot México
Cleocin Austria, Estados Unidos de América, Turquia
Clinamsa México
Clinbac Colômbia, Peru
Clincina Portugal
Clinda-Saar Alemanha
Clindacid Venezuela
Clindacin Malásia
Clindalaf Argentina
Clindamicina Argentina, Brasil, Chilli, Colômbia, Equator, Espanha, Itália, México, Peru, Portugal, Venezuela
Clindamycin Alemanha, Arábia Saudita, Austria, Canadá, Estados Unidos de América, Irã, Noruega, Romènia, Suècia
Clindamycin-Hameln Alemanha
Clindamycine Bélgica, França, Países Baixos, Tunísia
Clindanovag Argentina
Clindarix Brasil
Clindasol Alemanha
Clindaval Venezuela
Clindazyn México
Clindo Polonia
Clysvic México
Daclin Chilli
Dalacin Arábia Saudita, Australia, Bélgica, Canadá, Chilli, Colômbia, Dinamarca, Egipto, Emirados Árabes Unidos, Equator, Finlandia, Gran-bretanha, Grècia, Hungria, Índia, Irã, Irlanda, Islandia, Itália, Luxemburgo, Malásia, México, Noruega, nova Zelândia, Países Baixos, Polonia, Suècia, Suicia, Tunísia, Venezuela
Dalacine França, Tunísia
Daladic Irã
Dalcinex Índia
Damclid Índia
Damicin Colômbia, México
Damicine Colômbia
Dolarclin Colômbia
Euroclin Colômbia, Equator
Gynasafe Índia
Indamid México
Klimicin Polonia
Klindan Turquia
Klindaver Turquia
Lanacine Austria
Lincocin Malásia
Lincosa Malásia
Meneklin Turquia
Sobelin Alemanha
Tidact Malásia
Método de administração   Método de administração :Clindamycin phosphate     
Voie
perfusão intravenosa
Perfusão continua
intramuscular

  Mentions Légales