Posledná aktualizácia :
17/12/2025
antiepileptikum   Fosphenytoin sodium  
Injekcia
Stabilita roztokov Stabilita v zmesiach Faktory ovplyvňujúce stabilitu Kompatibility spôsob podania Odkazy na literatúru PDF
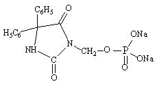
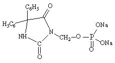
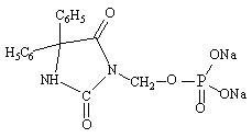
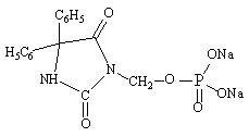
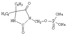
   Chemický vzorec  

Obchodný názov   Obchodný názov     

Obchodné názvy sú orientačné, a zloženie pomocných látok sa môže líšiť v závislosti od krajiny a výrobcu.

Cerebryx Kanada, Spojené štáty Americké
Fosphen India
Fostoin Japonsko
Pro - Epanutin Dánsko, Fínsko, Holandsko, Írsko, Island, Luxembursko, Nórsko, Rakúsko, Švédsko, Veľká Británia
Prodilantin Dánsko, Fínsko, Francúzsko, Grécko, Holandsko, Írsko, Island, Japonsko, Maďarsko, Poľsko, Rakúsko, Spojené štáty Americké
Sesquient Spojené štáty Americké
Stabilita roztokov   Injekcia   Stabilita roztokov : Fosphenytoin sodium     
obal rozpúšťadlo koncentrácia teplota uchovávanie Trvanie stability odkazy na lieteratúru
Sklo 0,9% chlorid sodný 1 & 8 & 20 mg/ml 25°C nešpecifikované
30 dní
800
Úroveň dôkazov A

Sklo 0,9% chlorid sodný 1 & 8 & 20 mg/ml 4°C Chránené pred svetlom
30 dní
800
Úroveň dôkazov A

Sklo 5% glukóza 1 & 8 & 20 mg/ml 25°C nešpecifikované
30 dní
800
Úroveň dôkazov A

Sklo 5% glukóza 1 & 8 & 20 mg/ml 4°C Chránené pred svetlom
30 dní
800
Úroveň dôkazov A

polyvinylchlorid (PVC) 0,9% chlorid sodný 1 & 8 & 20 mg/ml -20°C Chránené pred svetlom
30 dní
800
Úroveň dôkazov A

polyvinylchlorid (PVC) 0,9% chlorid sodný 1 & 8 & 20 mg/ml 25°C nešpecifikované
30 dní
800
Úroveň dôkazov A

polyvinylchlorid (PVC) 0,9% chlorid sodný 1 & 8 & 20 mg/ml 4°C Chránené pred svetlom
30 dní
800
Úroveň dôkazov A

polyvinylchlorid (PVC) 5% glukóza 1 & 8 & 20 mg/ml -20°C Chránené pred svetlom
30 dní
800
Úroveň dôkazov A

polyvinylchlorid (PVC) 5% glukóza 1 & 8 & 20 mg/ml 25°C nešpecifikované
30 dní
800
Úroveň dôkazov A

polyvinylchlorid (PVC) 5% glukóza 1 & 8 & 20 mg/ml 4°C Chránené pred svetlom
30 dní
800
Úroveň dôkazov A

Injekčná striekačka polypropylén Žiadny 50 mg/ml -20°C Za svetla
30 dní
800
Úroveň dôkazov A

Injekčná striekačka polypropylén Žiadny 50 mg/ml 25°C nešpecifikované
30 dní
800
Úroveň dôkazov A

Injekčná striekačka polypropylén Žiadny 50 mg/ml 4°C Chránené pred svetlom
30 dní
800
Úroveň dôkazov A


  Mentions Légales