viimane versioon :
12/12/2025
antiepileptikum   Fosphenytoin sodium  
Süsteravim
Stabiilsus lahustes Stabiilsust mõjutavad tegurid stabiilsust mõjutavad faktorid Sobimatus Manustamis viis Viited pdf
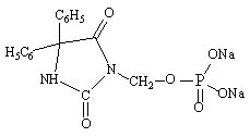
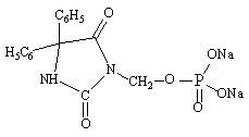
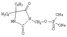
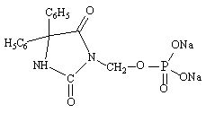
   keemiline struktuur  

Kaubanduslikud nimed erinevates maades   Kaubanduslikud nimed erinevates maades     

Preparaatide nimed on näitlikud ja abianete sisaldus võib erineda sõltuvalt riigist ja laborist

Cerebryx Ameerika ühendriigid, Kanada
Fosphen India
Fostoin Jaapan
Pro - Epanutin Austria, Holland, Iirimaa, Island, Luksemburg, Norra, Rootsi, Soome, Suurbritannia, Taani
Prodilantin Ameerika ühendriigid, Austria, Holland, Iirimaa, Island, Jaapan, Kreeka, Poola, Prantsusmaa, Soome, Taani, Ungari
Sesquient Ameerika ühendriigid
Stabiilsus lahustes   Süsteravim   Stabiilsus lahustes : Fosphenytoin sodium     
konteiner lahusti kontsentratsioon temperatuur ladustamine Stabiilsuse kestus Viited
klaas naatriumkloriid 0.9% 1 & 8 & 20 mg/ml 25°C pole täpsustatud
30 päev
800
Tõenduspõhisuse tase A

klaas naatriumkloriid 0.9% 1 & 8 & 20 mg/ml 4°C kaitsta valguse eest
30 päev
800
Tõenduspõhisuse tase A

klaas glükoos 5% 1 & 8 & 20 mg/ml 25°C pole täpsustatud
30 päev
800
Tõenduspõhisuse tase A

klaas glükoos 5% 1 & 8 & 20 mg/ml 4°C kaitsta valguse eest
30 päev
800
Tõenduspõhisuse tase A

polüvinüülkloriid naatriumkloriid 0.9% 1 & 8 & 20 mg/ml -20°C kaitsta valguse eest
30 päev
800
Tõenduspõhisuse tase A

polüvinüülkloriid naatriumkloriid 0.9% 1 & 8 & 20 mg/ml 25°C pole täpsustatud
30 päev
800
Tõenduspõhisuse tase A

polüvinüülkloriid naatriumkloriid 0.9% 1 & 8 & 20 mg/ml 4°C kaitsta valguse eest
30 päev
800
Tõenduspõhisuse tase A

polüvinüülkloriid glükoos 5% 1 & 8 & 20 mg/ml -20°C kaitsta valguse eest
30 päev
800
Tõenduspõhisuse tase A

polüvinüülkloriid glükoos 5% 1 & 8 & 20 mg/ml 25°C pole täpsustatud
30 päev
800
Tõenduspõhisuse tase A

polüvinüülkloriid glükoos 5% 1 & 8 & 20 mg/ml 4°C kaitsta valguse eest
30 päev
800
Tõenduspõhisuse tase A

süstal  polüpropüleenist mitte ükski 50 mg/ml -20°C valgus
30 päev
800
Tõenduspõhisuse tase A

süstal  polüpropüleenist mitte ükski 50 mg/ml 25°C pole täpsustatud
30 päev
800
Tõenduspõhisuse tase A

süstal  polüpropüleenist mitte ükski 50 mg/ml 4°C kaitsta valguse eest
30 päev
800
Tõenduspõhisuse tase A


  Mentions Légales