Последнее обновление :
17/12/2025
Противоэпилептическое средство   Fosphenytoin sodium  
Инъекция
Стабильность растворов Стабильность смесей Факторы, которые влияют на стабильность Совместимость Способы введения Библиография pdf
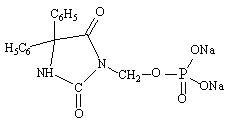
   Химическая структура  

Товарное название   Товарное название     

Trade names are indicative and excipients composition can be different depending on the country and manufacturers

Cerebryx Канада, Соединённые Штаты Америки
Fosphen Индия
Fostoin Япония
Pro - Epanutin Австрия, Великобритания, Голландия, Дания, Ирландия, Исландия, Люксембург, Норвегия, Финляндия, Швеция
Prodilantin Австрия, Венгрия, Голландия, Греция, Дания, Ирландия, Исландия, Польша, Соединённые Штаты Америки, Финляндия, Франция, Япония
Sesquient Соединённые Штаты Америки
Стабильность растворов   Инъекция   Стабильность растворов : Fosphenytoin sodium     
Упаковка Растворитель Концентрация Температура Хранение Продолжительность стабильности Ссылки
Стекло Натрия хлорид 0,9% 1 & 8 & 20 mg/ml 25°C Не указано
30 День
800
Уровень доказательности A

Стекло Натрия хлорид 0,9% 1 & 8 & 20 mg/ml 4°C Защищён от света
30 День
800
Уровень доказательности A

Стекло Глюкоза 5% 1 & 8 & 20 mg/ml 25°C Не указано
30 День
800
Уровень доказательности A

Стекло Глюкоза 5% 1 & 8 & 20 mg/ml 4°C Защищён от света
30 День
800
Уровень доказательности A

Поливинилхлорид Натрия хлорид 0,9% 1 & 8 & 20 mg/ml -20°C Защищён от света
30 День
800
Уровень доказательности A

Поливинилхлорид Натрия хлорид 0,9% 1 & 8 & 20 mg/ml 25°C Не указано
30 День
800
Уровень доказательности A

Поливинилхлорид Натрия хлорид 0,9% 1 & 8 & 20 mg/ml 4°C Защищён от света
30 День
800
Уровень доказательности A

Поливинилхлорид Глюкоза 5% 1 & 8 & 20 mg/ml -20°C Защищён от света
30 День
800
Уровень доказательности A

Поливинилхлорид Глюкоза 5% 1 & 8 & 20 mg/ml 25°C Не указано
30 День
800
Уровень доказательности A

Поливинилхлорид Глюкоза 5% 1 & 8 & 20 mg/ml 4°C Защищён от света
30 День
800
Уровень доказательности A

Шприц полипропилен Нет 50 mg/ml -20°C Свет
30 День
800
Уровень доказательности A

Шприц полипропилен Нет 50 mg/ml 25°C Не указано
30 День
800
Уровень доказательности A

Шприц полипропилен Нет 50 mg/ml 4°C Защищён от света
30 День
800
Уровень доказательности A


  Mentions Légales