Ultimele actualizari :
03/02/2026
Antiepileptic   Fosphenytoin sodium  
Injectabil
Stabilitatea in solutie Stabilitatea in amestec Factorii care influenteaza stabilitatea Compatibilitate Microunde Bibliografie pdf
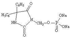
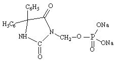
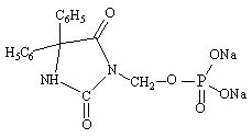
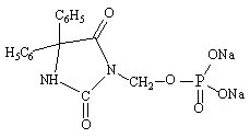
   Formula chimica  

Denumirea comerciala   Denumirea comerciala     

Trade names are indicative and excipients composition can be different depending on the country and manufacturers

Cerebryx Canada, SUA
Fosphen India
Fostoin Japonia
Pro - Epanutin Austria, Danemarca, Finlanda, Irlanda, Islanda, Luxemburg, Marea Britanie, Norvegia, Olanda, Suedia
Prodilantin Austria, Danemarca, Finlanda, Franta, Grecia, Irlanda, Islanda, Japonia, Olanda, Polonia, SUA, Ungaria
Sesquient SUA
Stabilitatea in solutie   Injectabil   Stabilitatea in solutie : Fosphenytoin sodium     
Continut Solvent Concentratie Temperatura Conservare Durata stabilității Bibiografie
sticla clorura de sodiu 0,9% 1 & 8 & 20 mg/ml 25°C Neprecizat
30 Ziua
800
Nivel de evidență A

sticla clorura de sodiu 0,9% 1 & 8 & 20 mg/ml 4°C Ferit de lumina
30 Ziua
800
Nivel de evidență A

sticla Glucoza 5% 1 & 8 & 20 mg/ml 25°C Neprecizat
30 Ziua
800
Nivel de evidență A

sticla Glucoza 5% 1 & 8 & 20 mg/ml 4°C Ferit de lumina
30 Ziua
800
Nivel de evidență A

clorura de polivinil clorura de sodiu 0,9% 1 & 8 & 20 mg/ml -20°C Ferit de lumina
30 Ziua
800
Nivel de evidență A

clorura de polivinil clorura de sodiu 0,9% 1 & 8 & 20 mg/ml 25°C Neprecizat
30 Ziua
800
Nivel de evidență A

clorura de polivinil clorura de sodiu 0,9% 1 & 8 & 20 mg/ml 4°C Ferit de lumina
30 Ziua
800
Nivel de evidență A

clorura de polivinil Glucoza 5% 1 & 8 & 20 mg/ml -20°C Ferit de lumina
30 Ziua
800
Nivel de evidență A

clorura de polivinil Glucoza 5% 1 & 8 & 20 mg/ml 25°C Neprecizat
30 Ziua
800
Nivel de evidență A

clorura de polivinil Glucoza 5% 1 & 8 & 20 mg/ml 4°C Ferit de lumina
30 Ziua
800
Nivel de evidență A

seringă polipropileno fara 50 mg/ml -20°C Lumina
30 Ziua
800
Nivel de evidență A

seringă polipropileno fara 50 mg/ml 25°C Neprecizat
30 Ziua
800
Nivel de evidență A

seringă polipropileno fara 50 mg/ml 4°C Ferit de lumina
30 Ziua
800
Nivel de evidență A


  Mentions Légales