Letztes “update” :
17/12/2025
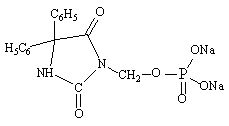
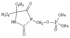
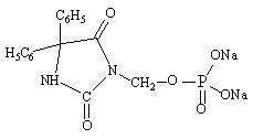
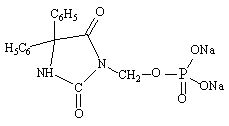
Antiepileptikum   Fosphenytoin sodium  
Injektion
Stabilität der Lösung Gemengestabilität Stabilitätbeeinflussende Faktoren Kompatibilitäten Applikationsart Literaturverzeichnis pdf
   Chemische Struktur  

Handelsmarke   Handelsmarke     

Handelsnamen sind als beispielhaft anzusehen. Sonstige Bestandteile können je nach Hersteller oder Land verschieden sein

Cerebryx Kanada, Vereinigte Staaten von Amerika
Fosphen Indien
Fostoin Japan
Pro - Epanutin Dänemark, Finnland, Großbritannien, Irland, Island, Luxemburg, Niederlande, Norwegen, Österreich, Schweden
Prodilantin Dänemark, Finnland, Frankreich, Griechenland, Irland, Island, Japan, Niederlande, Österreich, Polen, Ungarn, Vereinigte Staaten von Amerika
Sesquient Vereinigte Staaten von Amerika
Stabilität der Lösung   Injektion   Stabilität der Lösung : Fosphenytoin sodium     
Behälter Lösungsmittel Konzentration Temperatur Konservierung Dauer der Stabilität Literaturverzeichnis
Glas 0,9% Natriumchlorid 1 & 8 & 20 mg/ml 25°C Nicht genau angegeben
30 Tag
800
Evidenzgrad A

Glas 0,9% Natriumchlorid 1 & 8 & 20 mg/ml 4°C Ohne Licht
30 Tag
800
Evidenzgrad A

Glas 5% Glucose 1 & 8 & 20 mg/ml 25°C Nicht genau angegeben
30 Tag
800
Evidenzgrad A

Glas 5% Glucose 1 & 8 & 20 mg/ml 4°C Ohne Licht
30 Tag
800
Evidenzgrad A

Polyvinylchlorid 0,9% Natriumchlorid 1 & 8 & 20 mg/ml -20°C Ohne Licht
30 Tag
800
Evidenzgrad A

Polyvinylchlorid 0,9% Natriumchlorid 1 & 8 & 20 mg/ml 25°C Nicht genau angegeben
30 Tag
800
Evidenzgrad A

Polyvinylchlorid 0,9% Natriumchlorid 1 & 8 & 20 mg/ml 4°C Ohne Licht
30 Tag
800
Evidenzgrad A

Polyvinylchlorid 5% Glucose 1 & 8 & 20 mg/ml -20°C Ohne Licht
30 Tag
800
Evidenzgrad A

Polyvinylchlorid 5% Glucose 1 & 8 & 20 mg/ml 25°C Nicht genau angegeben
30 Tag
800
Evidenzgrad A

Polyvinylchlorid 5% Glucose 1 & 8 & 20 mg/ml 4°C Ohne Licht
30 Tag
800
Evidenzgrad A

 Spritze Polypropylen Kein 50 mg/ml -20°C Licht
30 Tag
800
Evidenzgrad A

 Spritze Polypropylen Kein 50 mg/ml 25°C Nicht genau angegeben
30 Tag
800
Evidenzgrad A

 Spritze Polypropylen Kein 50 mg/ml 4°C Ohne Licht
30 Tag
800
Evidenzgrad A


  Mentions Légales