آخر تحديث :
18/03/2026
المضادة للصرع   Fosphenytoin sodium  
حقن
الاستقرار في حلول استقرار مخاليط العوامل التي تؤثر على الاستقرار التوافق طريقة التعاطي مراجع pdf
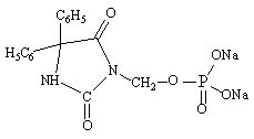
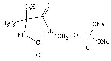
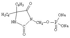
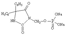
   التركيب الكيميائي  

حجز الاسم التجاري   حجز الاسم التجاري     

تحذير الأسماء التجاريه المختلفه قد تحتوي علي محتوي إضافات مختلفة حسب الدوله و المعمل

Cerebryx الولايات المتحدة, كندا
Fosphen الهند
Fostoin اليابان
Pro - Epanutin أيسلندا, الدنمارك, السويد, النرويج, النمسا, ايرلندا, بريطانيا العظمي, فنلندا, لوكسمبورغ, هولندا
Prodilantin أيسلندا, الدنمارك, النمسا, الولايات المتحدة, اليابان, ايرلندا, بولندا, فرنسا, فنلندا, هنغاريا, هولندا, يونان
Sesquient الولايات المتحدة
الاستقرار في حلول   حقن   الاستقرار في حلول : Fosphenytoin sodium     
حاوية مذيب تركيز درجة الحرارة تخزين مدة الاستقرار مراجع
زجاج كلوريد الصوديوم 0.9% 1 & 8 & 20 mg/ml 25°C لم يتم تحديد
30 يوم
800
A مستوى الأدلة

زجاج كلوريد الصوديوم 0.9% 1 & 8 & 20 mg/ml 4°C بعيدا عن الضوء
30 يوم
800
A مستوى الأدلة

زجاج الجلوكوز %5 1 & 8 & 20 mg/ml 25°C لم يتم تحديد
30 يوم
800
A مستوى الأدلة

زجاج الجلوكوز %5 1 & 8 & 20 mg/ml 4°C بعيدا عن الضوء
30 يوم
800
A مستوى الأدلة

البولي فينيل كلوريد كلوريد الصوديوم 0.9% 1 & 8 & 20 mg/ml -20°C بعيدا عن الضوء
30 يوم
800
A مستوى الأدلة

البولي فينيل كلوريد كلوريد الصوديوم 0.9% 1 & 8 & 20 mg/ml 25°C لم يتم تحديد
30 يوم
800
A مستوى الأدلة

البولي فينيل كلوريد كلوريد الصوديوم 0.9% 1 & 8 & 20 mg/ml 4°C بعيدا عن الضوء
30 يوم
800
A مستوى الأدلة

البولي فينيل كلوريد الجلوكوز %5 1 & 8 & 20 mg/ml -20°C بعيدا عن الضوء
30 يوم
800
A مستوى الأدلة

البولي فينيل كلوريد الجلوكوز %5 1 & 8 & 20 mg/ml 25°C لم يتم تحديد
30 يوم
800
A مستوى الأدلة

البولي فينيل كلوريد الجلوكوز %5 1 & 8 & 20 mg/ml 4°C بعيدا عن الضوء
30 يوم
800
A مستوى الأدلة

محقنة البولي بروبلين لا شيء 50 mg/ml -20°C ضوء
30 يوم
800
A مستوى الأدلة

محقنة البولي بروبلين لا شيء 50 mg/ml 25°C لم يتم تحديد
30 يوم
800
A مستوى الأدلة

محقنة البولي بروبلين لا شيء 50 mg/ml 4°C بعيدا عن الضوء
30 يوم
800
A مستوى الأدلة


  Mentions Légales