Последно актуализиране :
03/02/2026
Антиепилептик   Fosphenytoin sodium  
Инжекция/Инжекционен
Стабилност на разтвори Стабилност на смеси Фактори, повлияващи стабилността Съвместимост Път на въвеждане Библиография Pdf
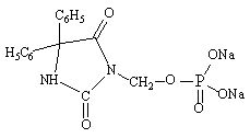
   Химична структура  

Търговско наименование   Търговско наименование     

Търговските имена са примерни и съставът на помощните вещества може да бъде различен в зависимост от държавата и лабораториите

Cerebryx Канада, Съединени Американски щати / САЩ
Fosphen Индия
Fostoin Япония
Pro - Epanutin Австрия, Великобритания, Дания, Ирландия, Исландия, Люксенбург, Норвегия, Финландия, Холандия, Швеция
Prodilantin Австрия, Гърция, Дания, Ирландия, Исландия, Полша, Съединени Американски щати / САЩ, Унгария, Финландия, Франция, Холандия, Япония
Sesquient Съединени Американски щати / САЩ
Стабилност на разтвори   Инжекция/Инжекционен   Стабилност на разтвори : Fosphenytoin sodium     
Контейнер Разтворител Концентрация Температура Съхранение Продължителност на стабилността Библиография
Стъкло Sodium chloride 0,9% 1 & 8 & 20 mg/ml 25°C Не е уточнено
30 Ден
800
Степен на доказаност A

Стъкло Sodium chloride 0,9% 1 & 8 & 20 mg/ml 4°C Защита от светлина
30 Ден
800
Степен на доказаност A

Стъкло Glucose 5% 1 & 8 & 20 mg/ml 25°C Не е уточнено
30 Ден
800
Степен на доказаност A

Стъкло Glucose 5% 1 & 8 & 20 mg/ml 4°C Защита от светлина
30 Ден
800
Степен на доказаност A

Поливинил хлорид Sodium chloride 0,9% 1 & 8 & 20 mg/ml -20°C Защита от светлина
30 Ден
800
Степен на доказаност A

Поливинил хлорид Sodium chloride 0,9% 1 & 8 & 20 mg/ml 25°C Не е уточнено
30 Ден
800
Степен на доказаност A

Поливинил хлорид Sodium chloride 0,9% 1 & 8 & 20 mg/ml 4°C Защита от светлина
30 Ден
800
Степен на доказаност A

Поливинил хлорид Glucose 5% 1 & 8 & 20 mg/ml -20°C Защита от светлина
30 Ден
800
Степен на доказаност A

Поливинил хлорид Glucose 5% 1 & 8 & 20 mg/ml 25°C Не е уточнено
30 Ден
800
Степен на доказаност A

Поливинил хлорид Glucose 5% 1 & 8 & 20 mg/ml 4°C Защита от светлина
30 Ден
800
Степен на доказаност A

шприц полипропилен Няма 50 mg/ml -20°C Светлина
30 Ден
800
Степен на доказаност A

шприц полипропилен Няма 50 mg/ml 25°C Не е уточнено
30 Ден
800
Степен на доказаност A

шприц полипропилен Няма 50 mg/ml 4°C Защита от светлина
30 Ден
800
Степен на доказаност A


  Mentions Légales